Senaste uppdateringen :
31/03/2026
Antibiotikum   Co-trimoxazole  
Oral lösning
injektion
Stabilitet av läkemedel Stabilitet i blandningar Faktorer som påverkar stabiliteten Kompatibilitet Hänvisningar pdf
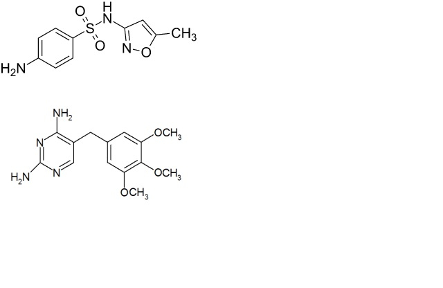
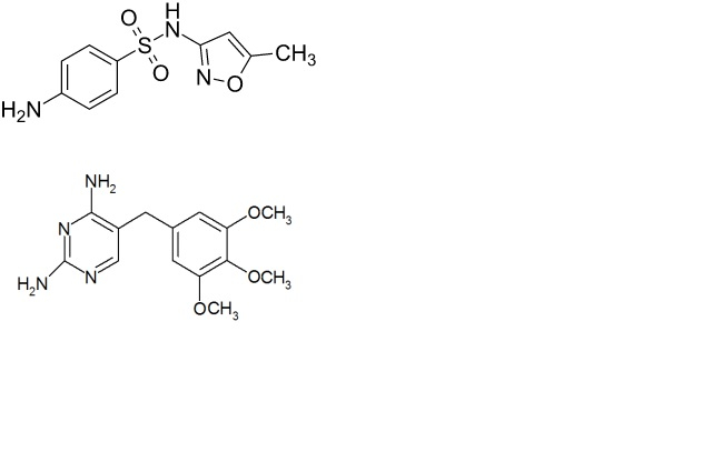
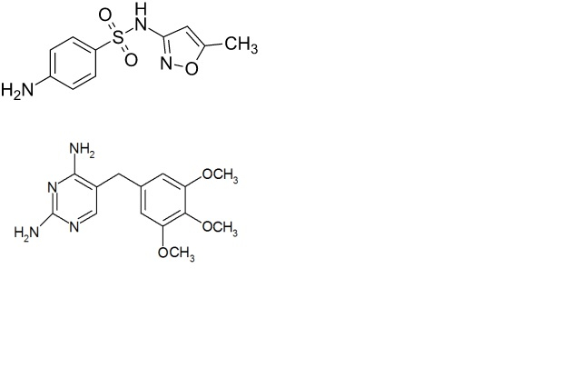
   Molekylstruktur  

Oral lösning
Kompatibilitet   Oral lösning   Kompatibilitet : Co-trimoxazole              
Ingen uppgift

  Mentions Légales