Pēdējā atjaunošana :
31/03/2026
Antibiotika   Co-trimoxazole  
Orāls šķīdums
Injekcija
Stabilitāte farmaceitisko preparātu Maisījuma stabilitāte Stabilitāti ietekmējoši faktori Saderība Literatūras saraksts pdf
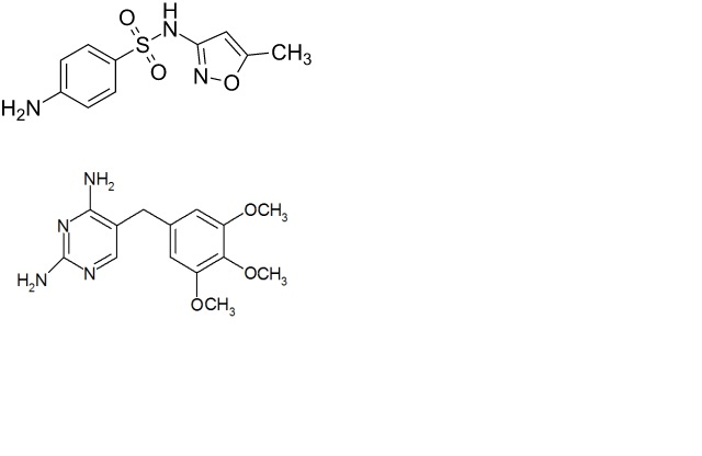
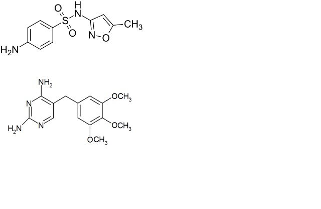
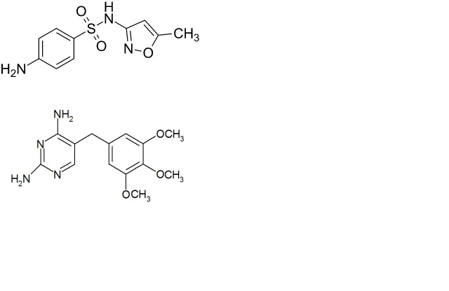
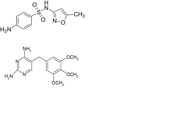
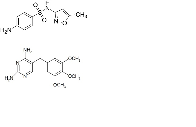
   Ķīmiskā uzbūve   

Orāls šķīdums
Saderība   Orāls šķīdums   Saderība : Co-trimoxazole              
Nav datu

  Mentions Légales