Posledná aktualizácia :
27/01/2026
antidysrytmikum   Propafenone Hydrochloride  
Perorálny roztok
Injekcia
Stabilita farmaceutických prípravkov Stabilita v zmesiach Faktory ovplyvňujúce stabilitu Kompatibility Odkazy na literatúru PDF
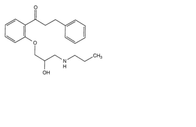
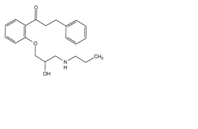
   Chemický vzorec  

Perorálny roztok
Stabilita v zmesiach   Perorálny roztok   Stabilita v zmesiach : Propafenone Hydrochloride     
žiadne údaje

  Mentions Légales