Viimeisin päivitys :
27/01/2026
Rytmihäiriölääkkeet   Propafenone Hydrochloride  
Oraaliliuos
Injektioneste
Vakaus lääkevalmisteen Stabilius seoksissa Tekijät, jotka vaikuttavat stabiliuteen Yhteensopivuus Viitteet pdf
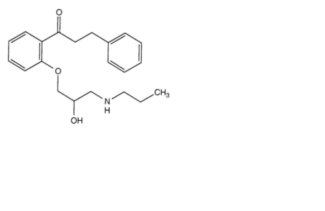
   Kemiallinen rakenne  

Oraaliliuos
Stabilius seoksissa   Oraaliliuos   Stabilius seoksissa : Propafenone Hydrochloride     
ei tietoa

  Mentions Légales