Utolsó frissítés :
27/01/2026
Antiaritmiás szer   Propafenone Hydrochloride  
belsőleges oldat
Injekció
Stabilitása gyógyszerészeti készítmények A keverékek stabilitása Stabilitást befolyásoló tényezők Kompatibilitás Irodalom pdf
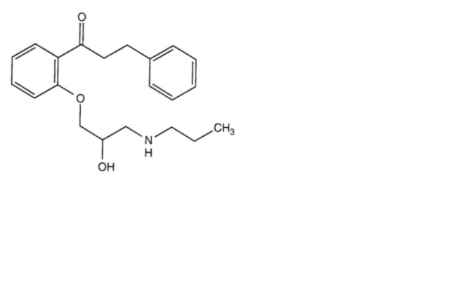
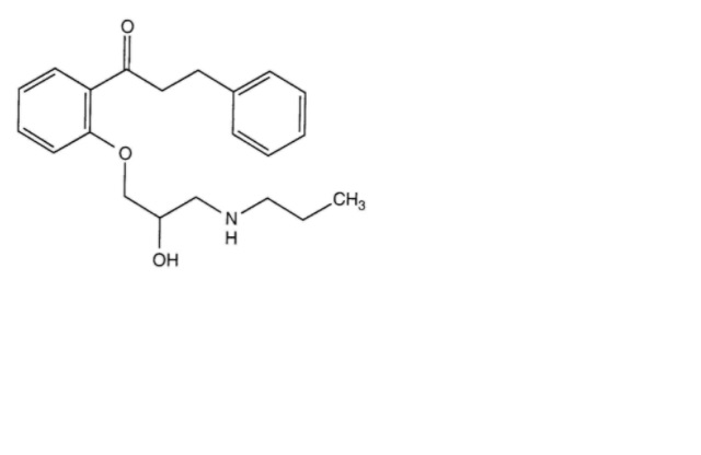
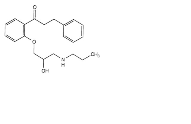
   Kémiai szerkezet   

belsőleges oldat
A keverékek stabilitása   belsőleges oldat   A keverékek stabilitása : Propafenone Hydrochloride     
Hiányzó adat

  Mentions Légales