Ostatnia aktualizacja :
27/01/2026
Antyarytmik   Propafenone Hydrochloride  
Roztwór doustny
Injekcje
Stabilność preparatów farmaceutycznych Trwałość w mieszaninie Czynnik wpływający na trwałość Zgodność Bibliografia pdf
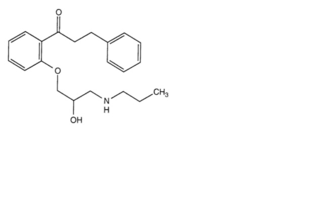
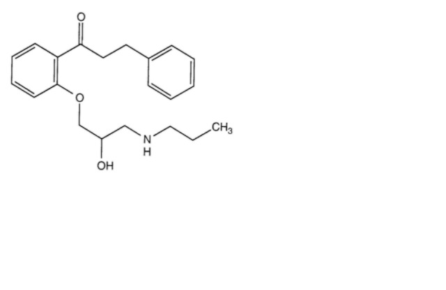
   Struktura chemiczna  

Roztwór doustny
Trwałość w mieszaninie   Roztwór doustny   Trwałość w mieszaninie : Propafenone Hydrochloride     
Brak danych

  Mentions Légales