Ultimele actualizari :
27/01/2026
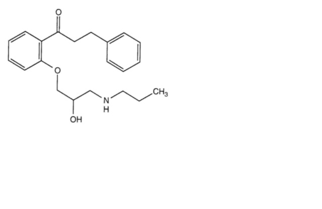
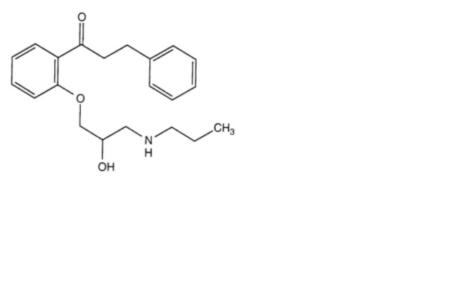
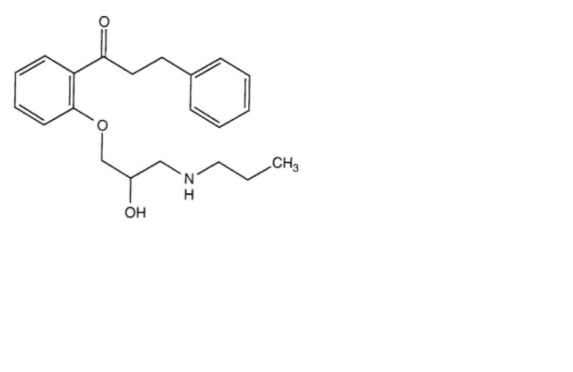
Antiaritmic   Propafenone Hydrochloride  
Soluţie orală
Injectabil
Stabilitatea preparatelor farmaceutice Stabilitatea in amestec Factorii care influenteaza stabilitatea Compatibilitate Bibliografie pdf
   Formula chimica  

Soluţie orală
Stabilitatea in amestec   Soluţie orală   Stabilitatea in amestec : Propafenone Hydrochloride     
Absenta de date

  Mentions Légales