最新更新 :
27/01/2026
抗不整脈薬   Propafenone Hydrochloride  
経口液
注射薬
調剤時の安定性 混合時の安定性 安定性に影響する因子 互換性 引用文献 PDF
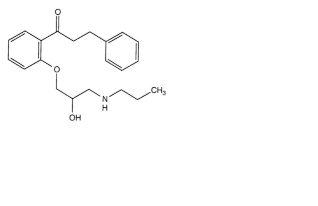
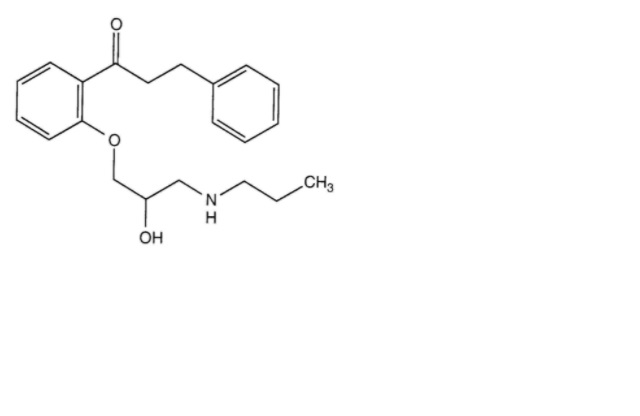
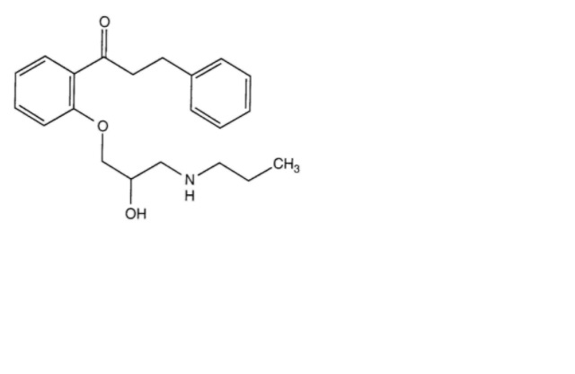
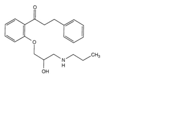
   化学構造  

経口液
混合時の安定性   経口液   混合時の安定性 : Propafenone Hydrochloride     
データなし

  Mentions Légales