Poslední aktualizace :
27/01/2026
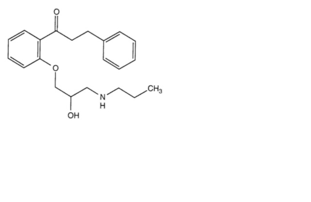
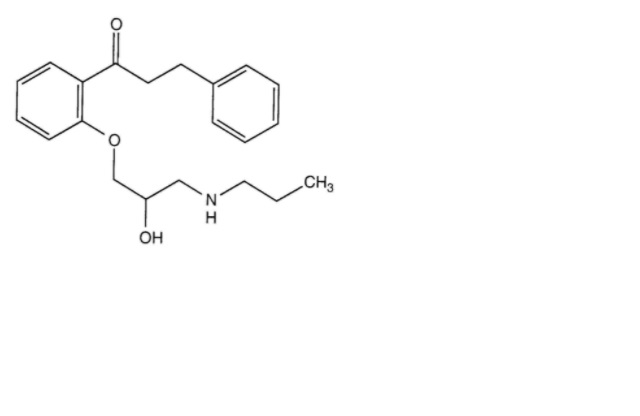
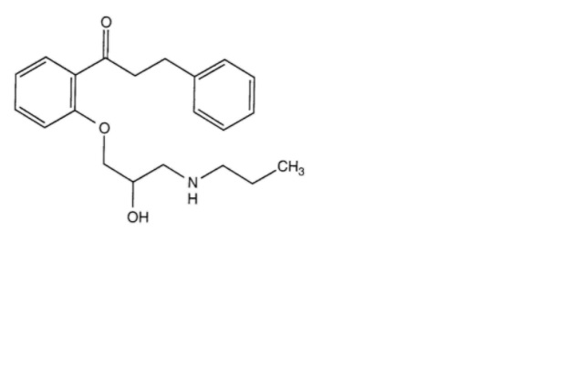
Antiaritmikas   Propafenone Hydrochloride  
Geriamas tirpalas
Įpurškimas
Stabilumas farmacinių preparatų Mišinių stabilumas Stabilumą lemiantys veiksniai Suderinamumas Bibliografija pdf
   Cheminė sandara  

Geriamas tirpalas
Mišinių stabilumas   Geriamas tirpalas   Mišinių stabilumas : Propafenone Hydrochloride     
Nėra duomenų

  Mentions Légales