Laatste update :
05/12/2025
Anti-arrhytmicum   Propafenone Hydrochloride  
Orale Oplossing
injecteerbaar geneesmiddel
Stabiliteit van farmaceutische preparaten Stabiliteit in mengsels Factoren die de stabiliteit beïnvloeden Verenigbaarheden Literatuur pdf
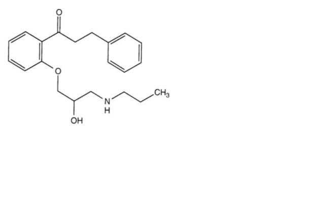
   Molecuulstructuur  

Orale Oplossing
Verenigbaarheden   Orale Oplossing   Verenigbaarheden : Propafenone Hydrochloride              
geen gegevens

  Mentions Légales