Zadnji put ažurirano :
27/01/2026
antiritmičan   Propafenone Hydrochloride  
oralna otopina
injekcija
Stabilnost farmaceutskih pripravaka Stabilnost mješavine Stabilizacijski faktor Kompatibilnosti Bibliografija pdf
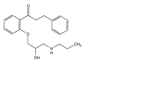
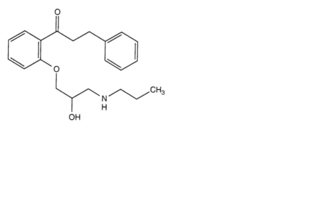
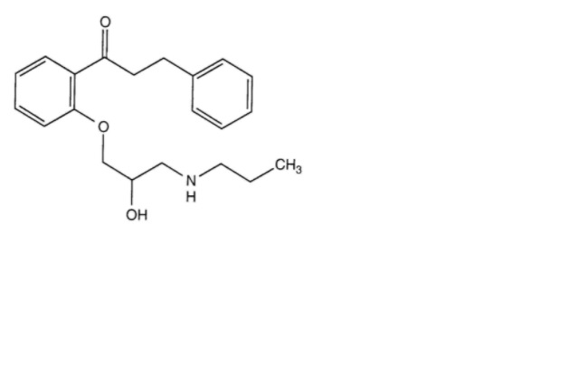
   Kemijska struktura  

oralna otopina
Stabilnost mješavine   oralna otopina     Stabilnost mješavine : Propafenone Hydrochloride     
bez podataka

  Mentions Légales