Останнє оновлення :
27/01/2026
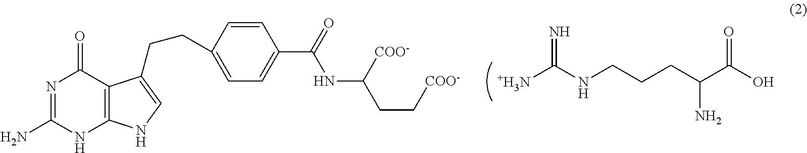
Протипухлинний препарат   Pemetrexed diarginine  
ін'єкція
Стійкість в розчинах Стійкість сумішей Фактори, що впливають на стабільність Сумісність Шлях введення Список літератури pdf
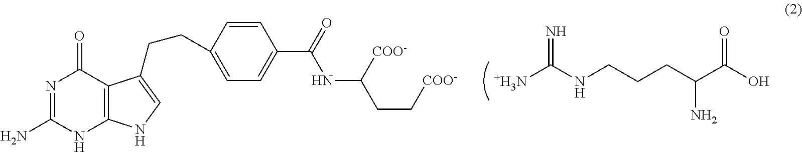
   Хімічна структура  

Торгова назва   Торгова назва     

Торгові назви є орієнтовними, а склад допоміжних речовин може бути різним залежно від країни та виробника

Pemetrexed Mylan Франція
Pemetrexed Ohre Pharma Франція
Pemetrexed Zentiva Франція
Шлях введення   Шлях введення :Pemetrexed diarginine     
Маршрут
Внутрішньовенне

  Mentions Légales