Última actualização :
18/03/2026
droga contra o câncer   Pemetrexed diarginine  
injetável
Estabilidade em soluções simples Estabilidade em misturas Factores que afectam a sua estabilidade Compatibilidade Método de administração Bibliografía pdf
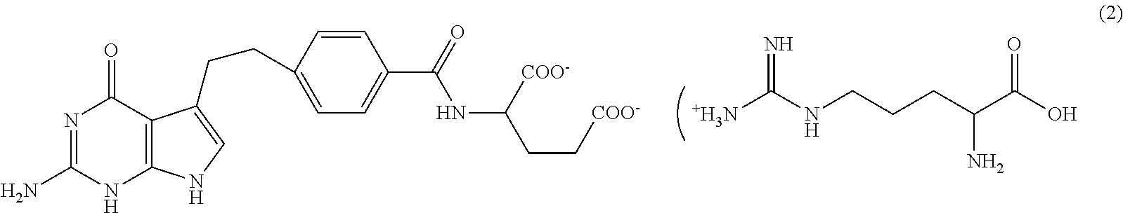
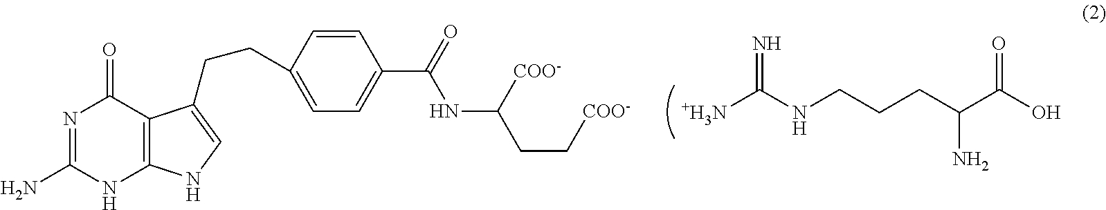
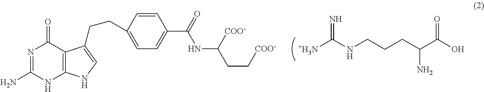
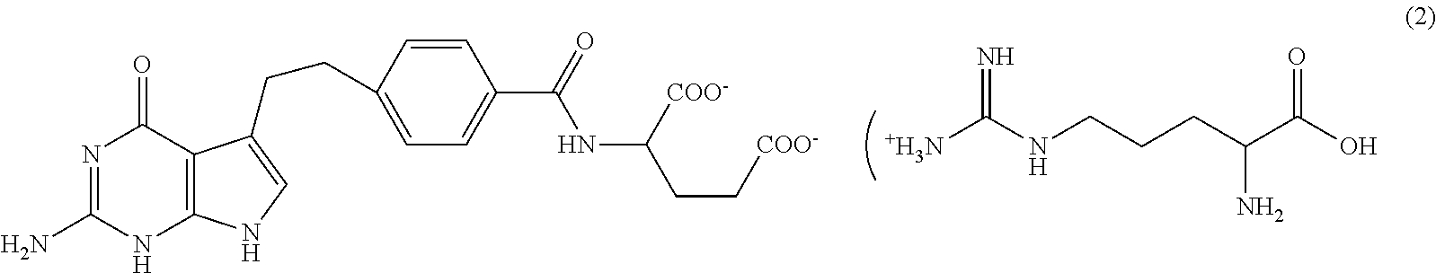
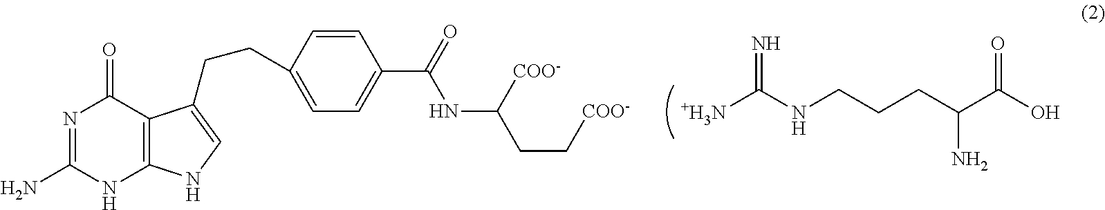
   estrutura química  

Nomes comerciais nos diversos países   Nomes comerciais nos diversos países     

OS NOMES COMERCIAIS SÃO INDICATIVOS E OS EXCIPIENTES DA FORMULAÇÃO PODEM SER DIFERENTES CONFORME O PAÍS E FABRICANTE.

Pemetrexed Mylan França
Pemetrexed Ohre Pharma França
Pemetrexed Zentiva França
Método de administração   Método de administração :Pemetrexed diarginine     
Voie
intravenoso

  Mentions Légales