Laatste update :
27/01/2026
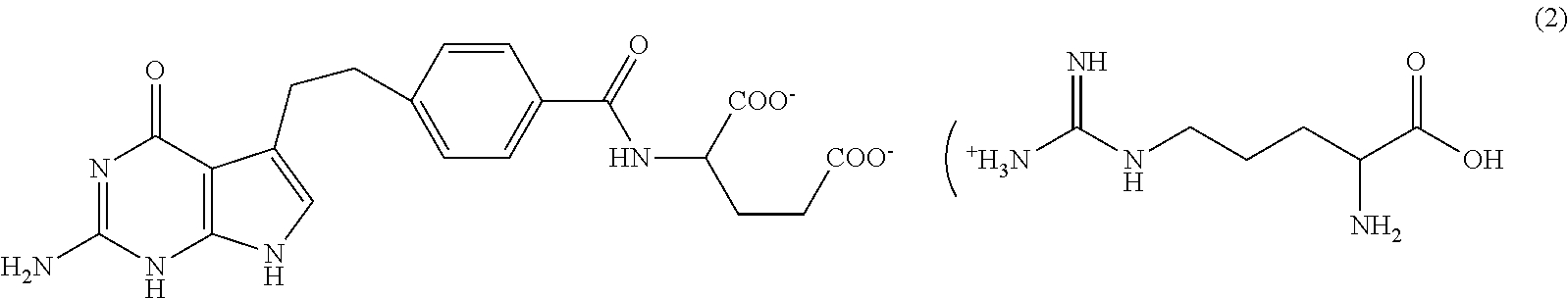
geneesmiddel tegen kanker   Pemetrexed diarginine  
injecteerbaar geneesmiddel
Stabiliteit in oplossing Stabiliteit in mengsels Factoren die de stabiliteit beïnvloeden Verenigbaarheden Toedieningswijze Literatuur pdf
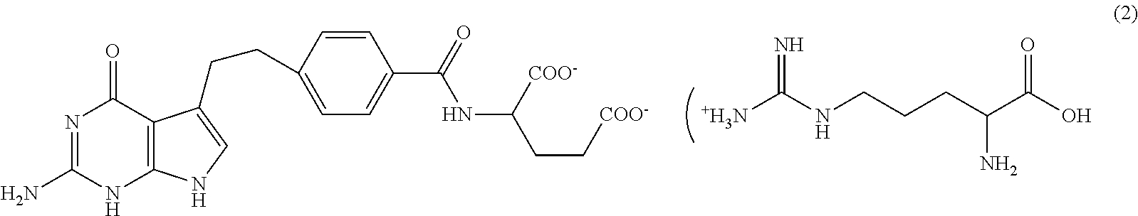
   Molecuulstructuur  

Merknamen in verschillende landen   Merknamen in verschillende landen     

Handelsnamen zijn slechts een indicatie; de samenstelling van hulpstoffen kan per land variëren afhankelijk van de fabrikant

Pemetrexed Mylan Frankrijk
Pemetrexed Ohre Pharma Frankrijk
Pemetrexed Zentiva Frankrijk
Toedieningswijze   Toedieningswijze :Pemetrexed diarginine     
Voie
Intraveneus

  Mentions Légales