Viimeisin päivitys :
27/01/2026
syöpälääke   Pemetrexed diarginine  
Injektioneste
Stabilius liuoksessa Stabilius seoksissa Tekijät, jotka vaikuttavat stabiliuteen Yhteensopivuus Antotapa Viitteet pdf
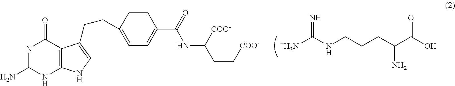
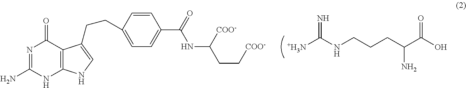
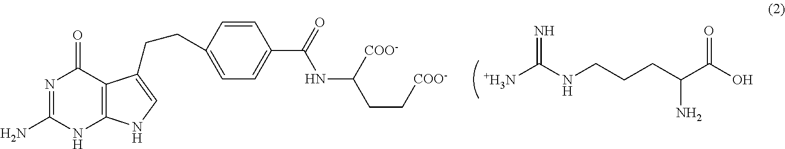
   Kemiallinen rakenne  

Kauppanimi   Kauppanimi     

Trade names are indicative and excipients composition can be different depending on the country and manufacturers

Pemetrexed Mylan Ranska
Pemetrexed Ohre Pharma Ranska
Pemetrexed Zentiva Ranska
Antotapa   Antotapa :Pemetrexed diarginine     
Voie
Intravenoosi

  Mentions Légales