Ultimo aggiornamento :
27/01/2026
farmaco contro il cancro   Pemetrexed diarginine  
Iniezione
Stabilità in soluzione Stabilità in miscela Fattori che influenzano la stabilità Compatibilità metodo di iniezione Bibliografia pdf
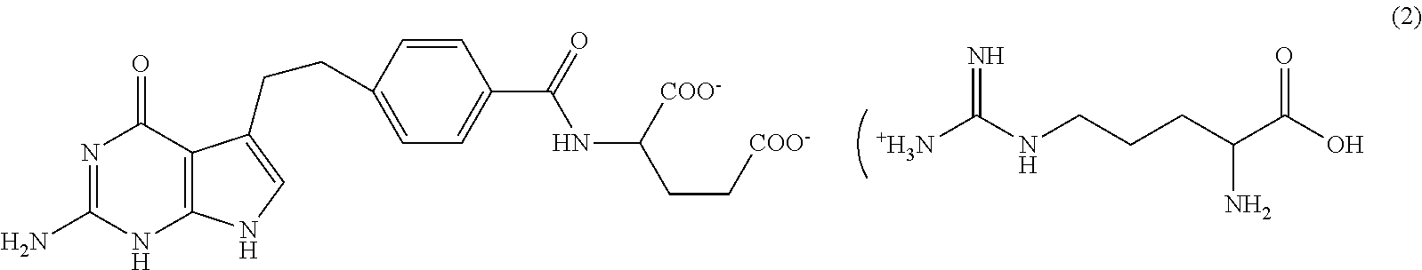
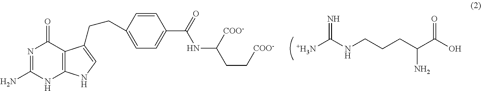
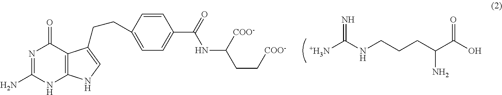
   Struttura chimica  

Nome commerciale   Nome commerciale     

Trade names are indicative and excipients composition can be different depending on the country and manufacturers

Pemetrexed Mylan Francia
Pemetrexed Ohre Pharma Francia
Pemetrexed Zentiva Francia
metodo di iniezione   metodo di iniezione :Pemetrexed diarginine     
Voie
Endovenosa

  Mentions Légales