zadnja posodobitev :
27/01/2026
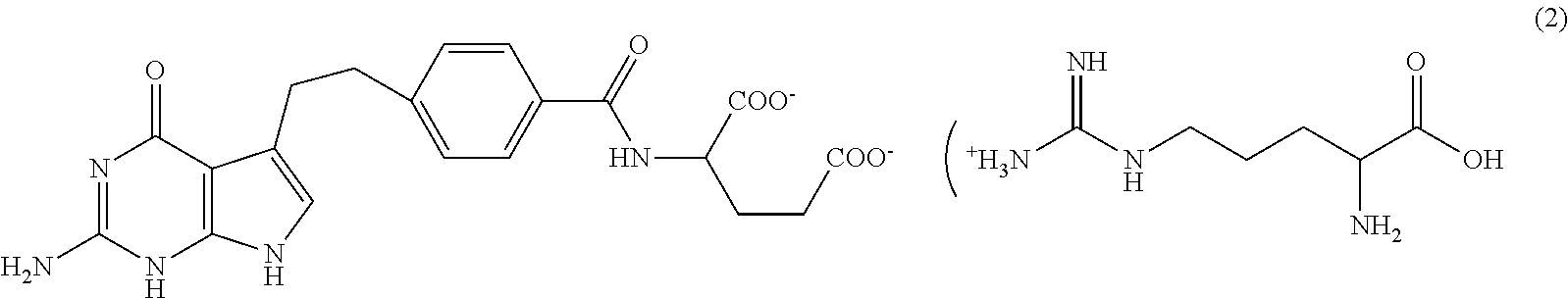
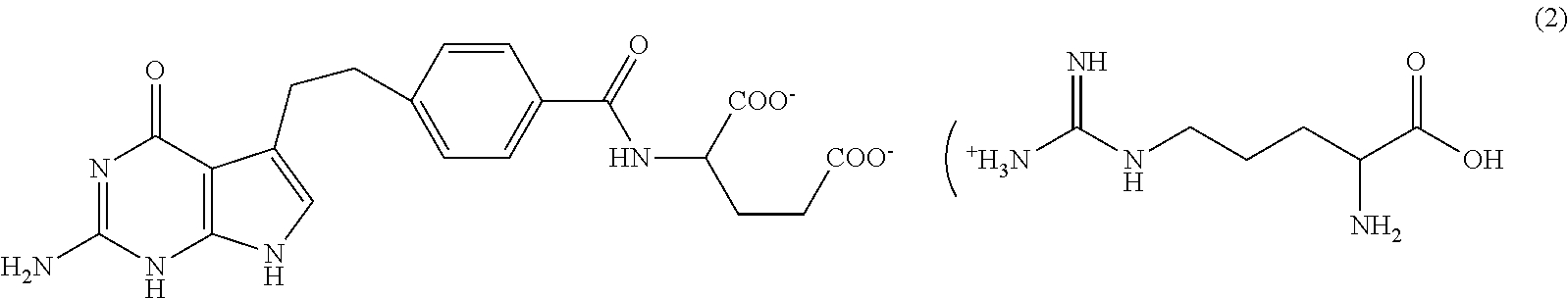
rak drog   Pemetrexed diarginine  
Brizgalka
Stabilnost raztopine Stabilnost mešanice Faktorji, ki vplivajo na stabilnost Kompatibilnost način aplikacije Viri pdf
   Kemična formula  

Lastniško ime   Lastniško ime     

Sestava pomožnih snovi je med paralelami lahko različna

Pemetrexed Mylan Francija
Pemetrexed Ohre Pharma Francija
Pemetrexed Zentiva Francija
način aplikacije   način aplikacije :Pemetrexed diarginine     
Voie
Intravensko

  Mentions Légales