Poslední aktualizace :
27/01/2026
vėžio narkotikų   Pemetrexed diarginine  
Įpurškimas
Tirpalų stabilumas Mišinių stabilumas Stabilumą lemiantys veiksniai Suderinamumas Leidimo būdai Bibliografija pdf
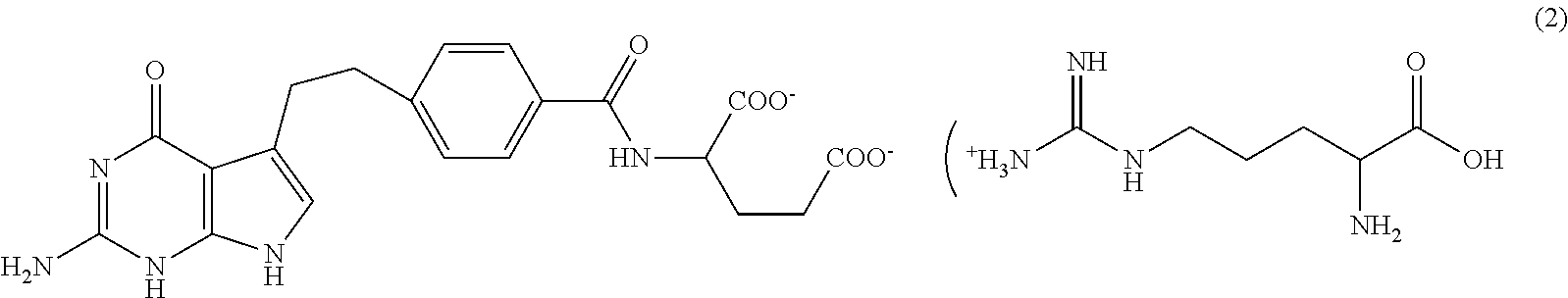
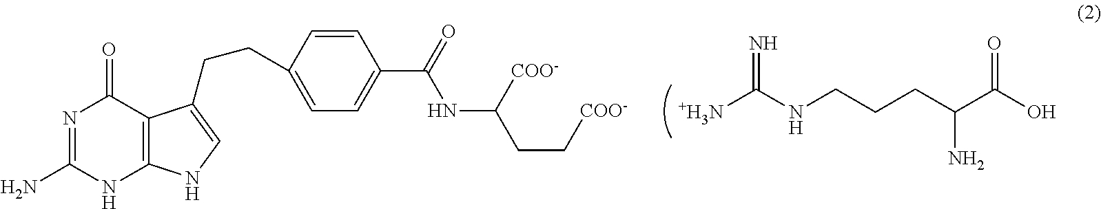
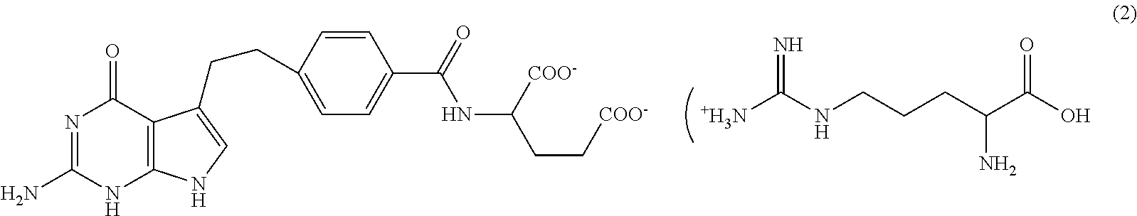
   Cheminė sandara  

Prekinis pavadinimas   Prekinis pavadinimas     

Trade names are indicative and excipients composition can be different depending on the country and manufacturers

Pemetrexed Mylan Prancūzija
Pemetrexed Ohre Pharma Prancūzija
Pemetrexed Zentiva Prancūzija
Leidimo būdai   Leidimo būdai :Pemetrexed diarginine     
Voie
Intraveninis

  Mentions Légales