最新更新 :
27/01/2026
細胞増殖抑制薬   Pemetrexed diarginine  
注射薬
溶媒内の安定性 混合時の安定性 安定性に影響する因子 互換性 投与経路 引用文献 PDF
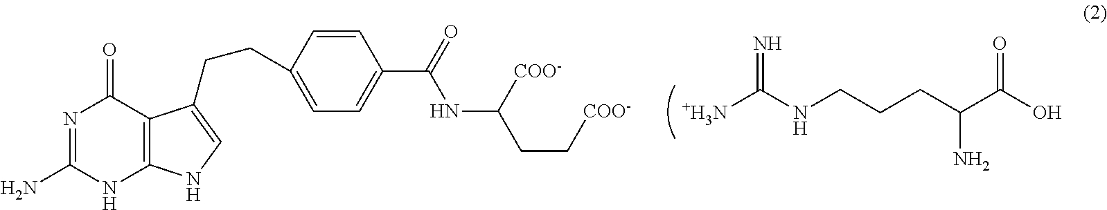
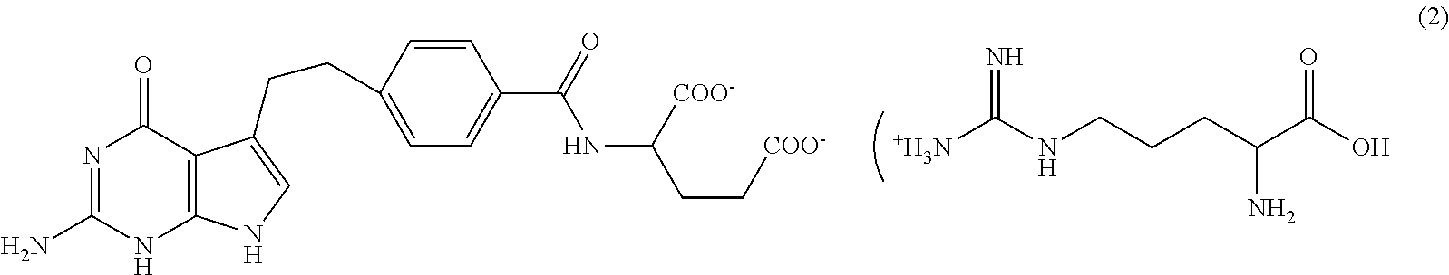
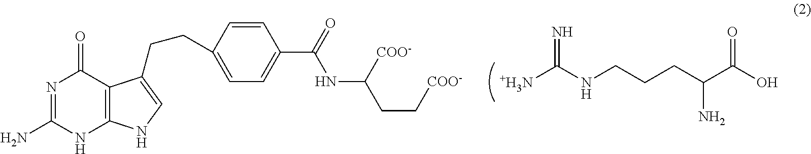
   化学構造  

商品名   商品名     

商品名、賦形剤は国、製薬会社ごとに異なることがあります

Pemetrexed Mylan フランス
Pemetrexed Ohre Pharma フランス
Pemetrexed Zentiva フランス
投与経路   投与経路 :Pemetrexed diarginine     
経路
静脈内

  Mentions Légales