Cập nhật lần cuối :
27/01/2026
Thuốc giãn mạch   Minoxidil  
Dung dịch uống
Dạng bôi da
Tính ổn định của các chế phẩm Độ ổn định khi trộn lẫn Những yếu tố ảnh hưởng đến độ ổn định Khả năng tương thích Tài liệu tham khảo Pdf
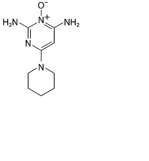
   Cấu trúc hóa học  

Dung dịch uống
Tính ổn định của các chế phẩm   Dung dịch uống   Tính ổn định của các chế phẩm : Minoxidil     
Bao bì Nguyên bản Tá dược Nhiệt độ Bảo quản Thời gian ổn định Mục lục
Thủy tinh Các viên nén 300 mg
Loniten®
OraPlus® / OraSweet SF® (1:1) >> 300 mL
2-6°C Tránh ánh sáng
168 Ngày
4075

Thủy tinh Các viên nén 300 mg
Loniten®
OraPlus® / OraSweet SF® (1:1) >> 300 mL
23-25°C Tránh ánh sáng
21 Ngày
4075


  Mentions Légales