Dernière mise à jour :
27/01/2026
Vasodilatateur   Minoxidil  
Solution buvable
Forme dermique
Stabilité des préparations Stabilité en mélange Facteur influençant la stabilité Compatibilités Bibliographie pdf
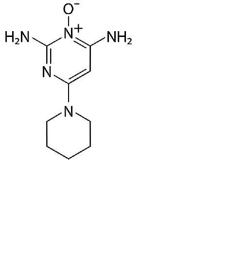
   Structure chimique  

Solution buvable
Stabilité des préparations   Solution buvable   Stabilité des préparations : Minoxidil     
Contenant Origine Excipient Température Conservation Durée de stabilité Bibliographie
Verre Comprimés 300 mg
Loniten®
OraPlus® / OraSweet SF® (1:1) >> 300 mL
2-6°C A l’abri de la lumière
168 Jour
4075

Verre Comprimés 300 mg
Loniten®
OraPlus® / OraSweet SF® (1:1) >> 300 mL
23-25°C A l’abri de la lumière
21 Jour
4075


  Mentions Légales