Senaste uppdateringen :
27/01/2026
Infostab
Förteckning över substanser
Sammanfattande listor
Sök efter kompatibilitet
Kompatibilitetstabell
Hänvisningar
forskargrupper
valistab
Posters
Anslutningar
sponsorer
Författare
Användaranvisning
Nyhetsbladet
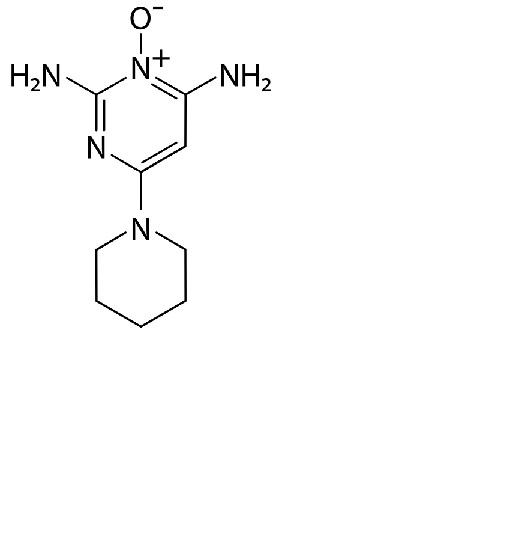
Minoxidil
Molekylstruktur
Stabilitet av läkemedel : Minoxidil
300 mg
Loniten®
OraPlus® / OraSweet SF® (1:1)
>> 300 mL
2-6°C
168
4075
300 mg
Loniten®
OraPlus® / OraSweet SF® (1:1)
>> 300 mL
23-25°C
21
4075
Mentions Légales