最新更新 :
27/01/2026
血管拡張薬   Minoxidil  
経口液
軟膏薬
調剤時の安定性 混合時の安定性 安定性に影響する因子 互換性 引用文献 PDF
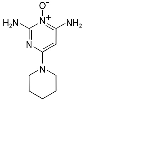
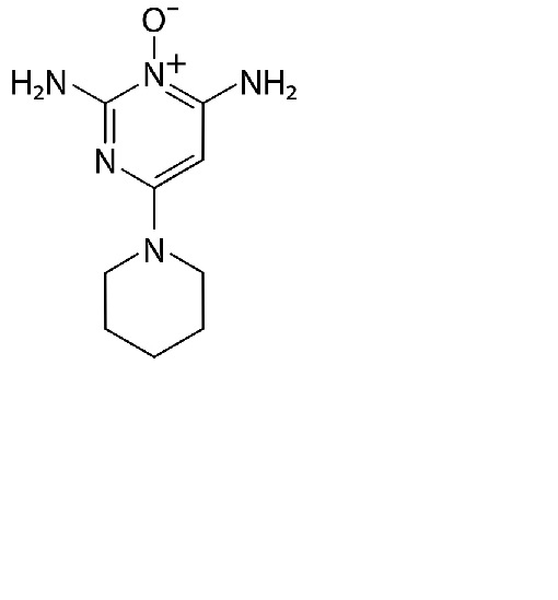
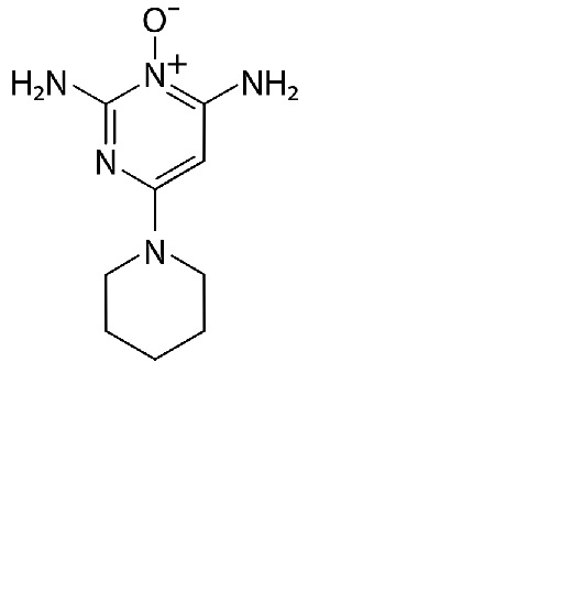
   化学構造  

経口液
調剤時の安定性   経口液   調剤時の安定性 : Minoxidil     
容器 Origine 添加剤 温度 保管 安定期間 引用文献
ガラス 錠剤 300 mg
Loniten®
OraPlus® / OraSweet SF® (1:1) >> 300 mL
2-6°C 遮光
168 日
4075

ガラス 錠剤 300 mg
Loniten®
OraPlus® / OraSweet SF® (1:1) >> 300 mL
23-25°C 遮光
21 日
4075


  Mentions Légales