Последнее обновление :
27/01/2026
Сосудорасширяющее средство   Minoxidil  
Раствор для перорального приёма
Мази
Стабильность фармацевтических препаратов Стабильность смесей Факторы, которые влияют на стабильность Совместимость Библиография pdf
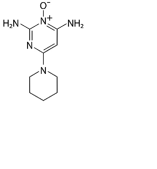
   Химическая структура  

Раствор для перорального приёма
Стабильность фармацевтических препаратов   Раствор для перорального приёма   Стабильность фармацевтических препаратов : Minoxidil     
Упаковка Origine Наполнитель Температура Хранение Продолжительность стабильности Ссылки
Стекло Таблетки 300 mg
Loniten®
OraPlus® / OraSweet SF® (1:1) >> 300 mL
2-6°C Защищён от света
168 День
4075

Стекло Таблетки 300 mg
Loniten®
OraPlus® / OraSweet SF® (1:1) >> 300 mL
23-25°C Защищён от света
21 День
4075


  Mentions Légales