Τελευταία ενημέρωση :
05/12/2025
Θρομβολυτικό   Minoxidil  
Πόσιμο διάλυμα
Αλοιφές
Σταθερότητα και συμβατότητα των φαρμάκων Σταθερότητα σε μίγματα Παράγοντας που επηρεάζει τη σταθερότητα Συμβατότητες Βιβλιογραφία pdf
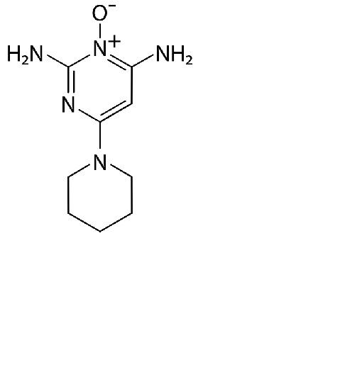
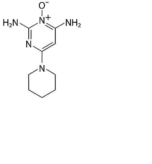
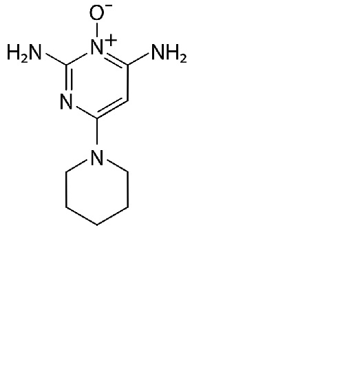
   χημική δομή  

Πόσιμο διάλυμα
Σταθερότητα και συμβατότητα των φαρμάκων   Πόσιμο διάλυμα   Σταθερότητα και συμβατότητα των φαρμάκων : Minoxidil     
Υποδοχέας Origine Έκδοχο Θερμοκρασία Αποθήκευση Διάρκεια σταθερότητας Βιβλιογραφία
Ύαλος Δισκία 300 mg
Loniten®
OraPlus® / OraSweet SF® (1:1) >> 300 mL
2-6°C Προστατεύετε από το φως
168 Ημέρα
4075

Ύαλος Δισκία 300 mg
Loniten®
OraPlus® / OraSweet SF® (1:1) >> 300 mL
23-25°C Προστατεύετε από το φως
21 Ημέρα
4075


  Mentions Légales