Last update :
27/01/2026
Vasodilator   Minoxidil  
Oral solution
Ointments
Stability of pharmaceutical preparations Stability of mixtures Factors which affect stability Compatibility References pdf
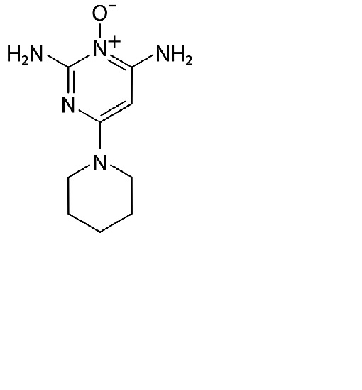
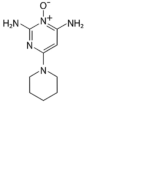
   Chemical structure  

Oral solution
Stability of pharmaceutical preparations   Oral solution   Stability of pharmaceutical preparations : Minoxidil     
Container Origine excipient Temperature Storage Duration of stability References
Glass tablets 300 mg
Loniten®
OraPlus® / OraSweet SF® (1:1) >> 300 mL
2-6°C Protect from light
168 Day
4075

Glass tablets 300 mg
Loniten®
OraPlus® / OraSweet SF® (1:1) >> 300 mL
23-25°C Protect from light
21 Day
4075


  Mentions Légales