آخر تحديث :
18/03/2026
موسع الشرايين   Minoxidil  
عن طريق الفم
المراهم
استقرار المستحضرات الصيدلانية استقرار مخاليط العوامل التي تؤثر على الاستقرار التوافق مراجع pdf
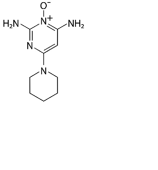
   التركيب الكيميائي  

عن طريق الفم
استقرار المستحضرات الصيدلانية   عن طريق الفم     استقرار المستحضرات الصيدلانية : Minoxidil     
حاوية Origine الاضافات درجة الحرارة تخزين مدة الاستقرار مراجع
زجاج أقراص 300 mg
Loniten®
OraPlus® / OraSweet SF® (1:1) >> 300 mL
2-6°C بعيدا عن الضوء
168 يوم
4075

زجاج أقراص 300 mg
Loniten®
OraPlus® / OraSweet SF® (1:1) >> 300 mL
23-25°C بعيدا عن الضوء
21 يوم
4075


  Mentions Légales