Seneste opdatering :
27/01/2026
Infostab
Lister
Bversigter
Søg efter kompatibilitet
Y-site kompatibilitetstabel
Bibliografi
forskerhold
valistab
Poster
Links
sponsorer
Forfatter
Brugervejledning
Nyhedsbrev
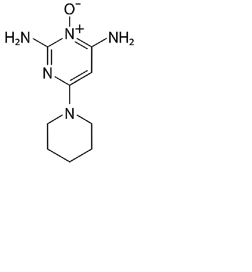
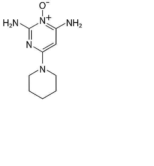
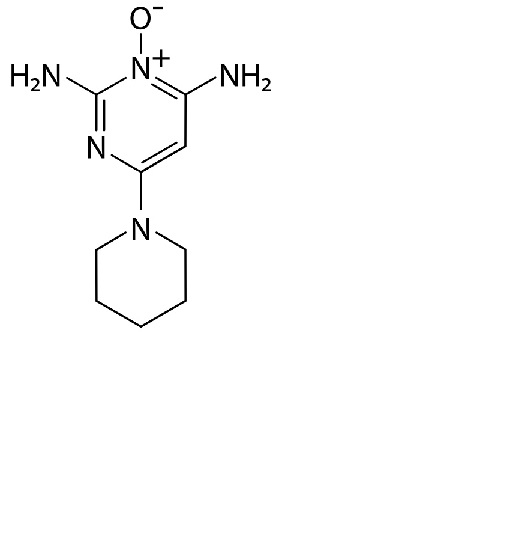
Minoxidil
Kemisk struktur
Stabilitet af farmaceutiske tilberedninger : Minoxidil
300 mg
Loniten®
OraPlus® / OraSweet SF® (1:1)
>> 300 mL
2-6°C
168
4075
300 mg
Loniten®
OraPlus® / OraSweet SF® (1:1)
>> 300 mL
23-25°C
21
4075
Mentions Légales