Cập nhật lần cuối :
27/01/2026
Thuốc chống nôn   Prochlorperazine edysilate  
Thuốc nhỏ mũi
Dạng tiêm
Tính ổn định của các chế phẩm Độ ổn định khi trộn lẫn Những yếu tố ảnh hưởng đến độ ổn định Khả năng tương thích Tài liệu tham khảo Pdf
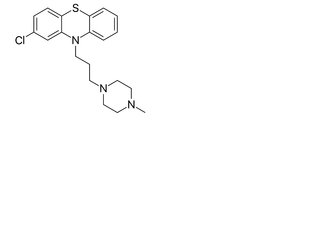
   Cấu trúc hóa học  

Thuốc nhỏ mũi
Tính ổn định của các chế phẩm   Thuốc nhỏ mũi   Tính ổn định của các chế phẩm : Prochlorperazine edysilate     
Bao bì Nguyên bản Tá dược Nhiệt độ Bảo quản Thời gian ổn định Mục lục
Lọ nhựa Bột 250 mg
acid citric 5 mg
NaCl 0,9% 450 mg
Nước tinh khiết >> 50 mL
acid hydroclorid 0.1N pH 2.5
22°C Tránh ánh sáng
60 Ngày
4054


  Mentions Légales