Останнє оновлення :
27/01/2026
Протирвотний засіб   Prochlorperazine edysilate  
краплі в ніс
ін'єкція
Стабільність фармацевтичних препаратів Стійкість сумішей Фактори, що впливають на стабільність Сумісність Список літератури pdf
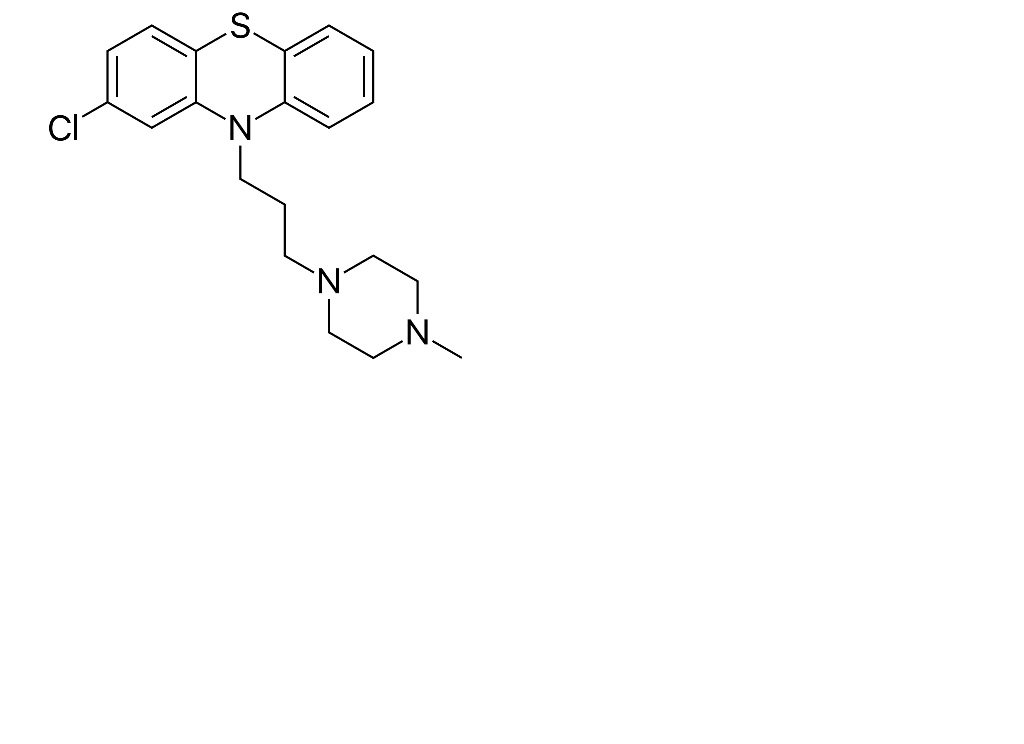
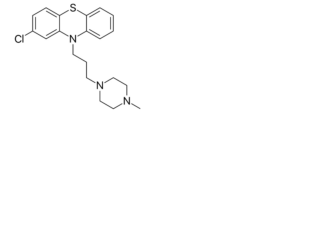
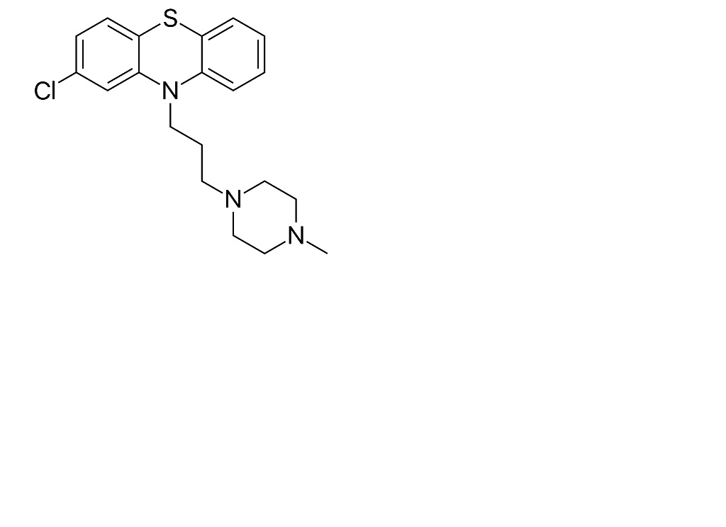
   Хімічна структура  

краплі в ніс
Стабільність фармацевтичних препаратів   краплі в ніс   Стабільність фармацевтичних препаратів : Prochlorperazine edysilate     
Контейнер Origine допоміжна речовина температура Зберігання Тривалість стабільності Список літератури
пластикова пляшка powder 250 mg
Лимонна кислота 5 mg
NaCl 0.9% 450 mg
Очищена вода >> 50 mL
хлористого-воднева кислота 0.1N pH 2.5
22°C Берегти від світла
60 День
4054


  Mentions Légales