آخر تحديث :
27/01/2026
مضاد للقىء   Prochlorperazine edysilate  
قطرات الأنف
حقن
استقرار المستحضرات الصيدلانية استقرار مخاليط العوامل التي تؤثر على الاستقرار التوافق مراجع pdf
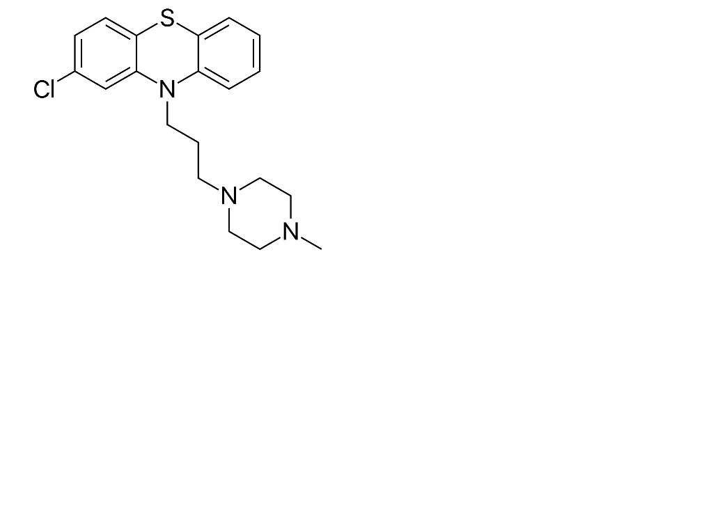
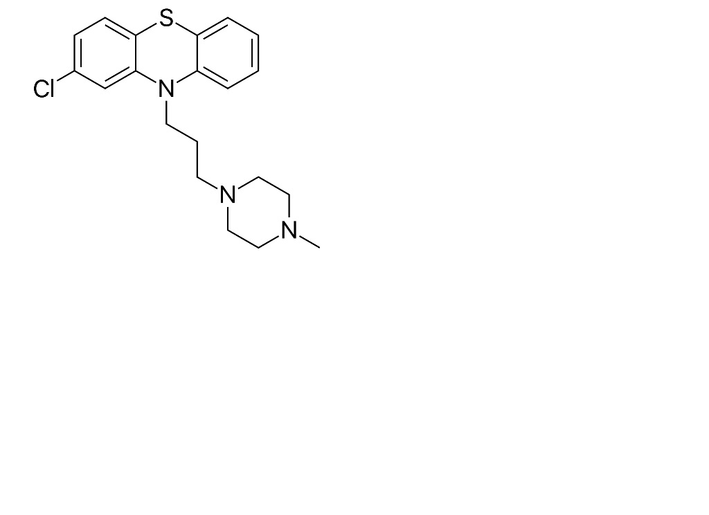
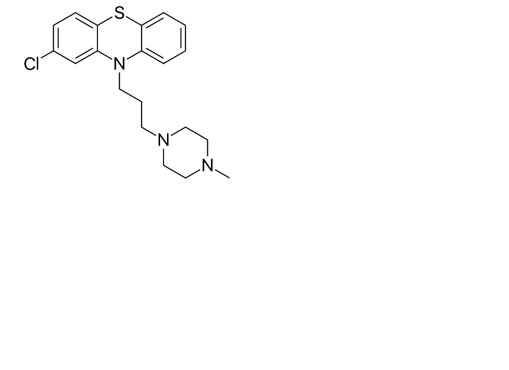
   التركيب الكيميائي  

قطرات الأنف
استقرار المستحضرات الصيدلانية   قطرات الأنف   استقرار المستحضرات الصيدلانية : Prochlorperazine edysilate     
حاوية Origine الاضافات درجة الحرارة تخزين مدة الاستقرار مراجع
زجاجة من البلاستيك مسحوق 250 mg
حامض الستريك 5 mg
كلوريد الصوديوم 0.9 450 mg
تنقية المياه >> 50 mL
حامض الهيدروكلوريك 0.1N pH 2.5
22°C بعيدا عن الضوء
60 يوم
4054


  Mentions Légales