Dernière mise à jour :
05/12/2025
Infostab
Liste des molécules
Listes récapitulatives
Recherches de compatibilités
Tableau de compatibilités en Y
Bibliographie
Equipes de recherche
Valistab
Posters
Liens infostab
Partenaires
Auteurs
Manuel d'utilisation
Lettre d'actualité
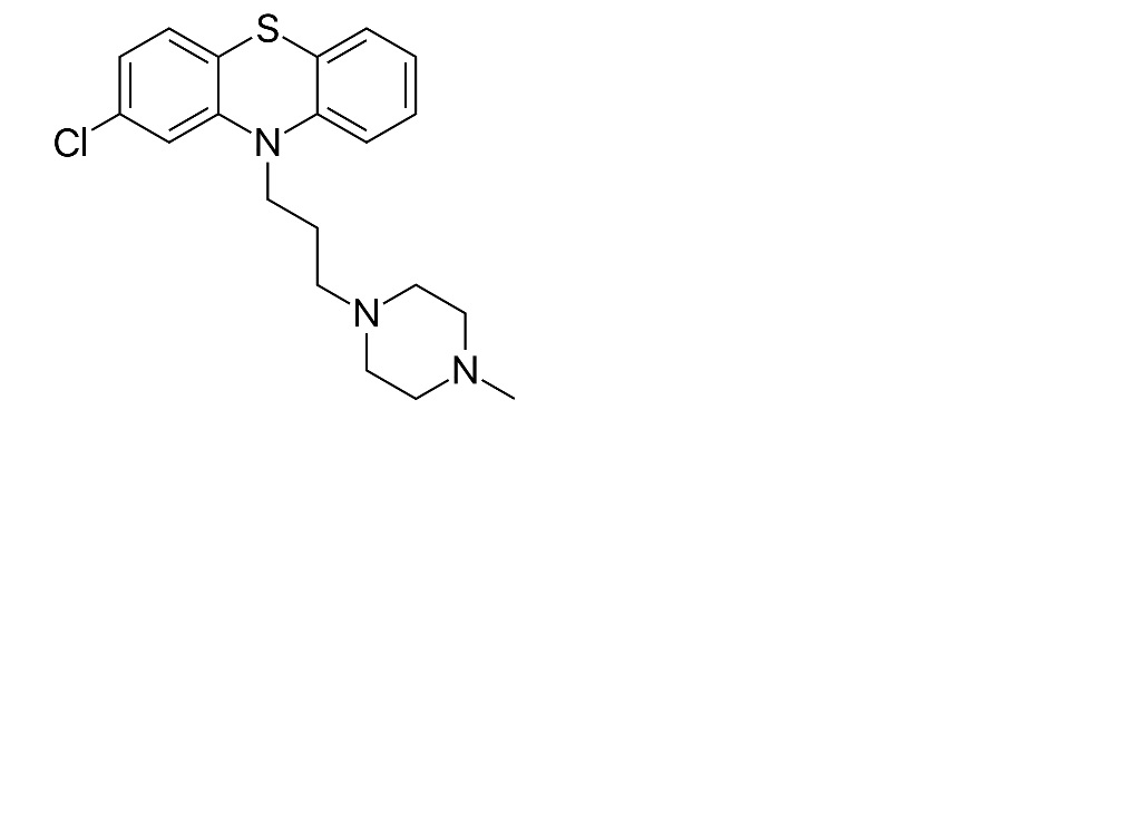
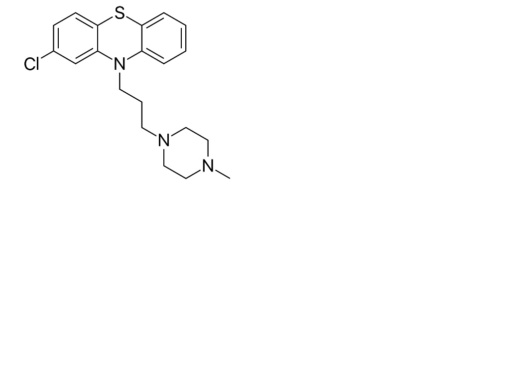
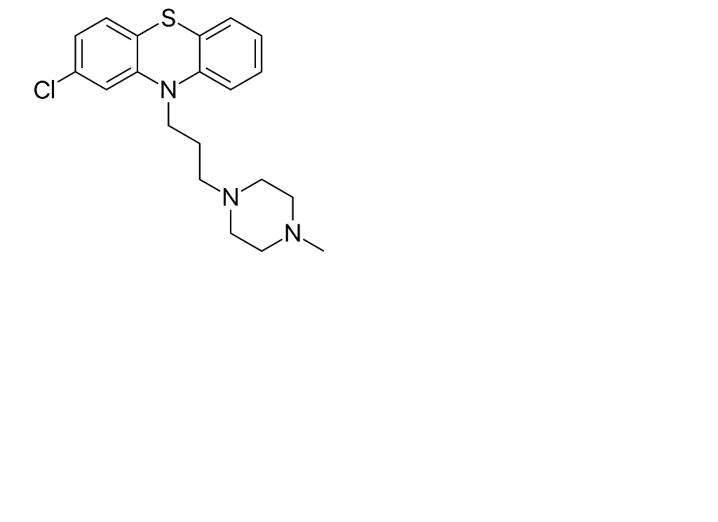
Prochlorperazine edysilate
Structure chimique
Stabilité des préparations : Prochlorperazine edysilate
250 mg
acide citrique
5 mg
NaCl 0.9%
450 mg
Eau purifiée
>> 50 mL
Acide chlorhydrique
0.1N pH 2.5
22°C
60
4054
Mentions Légales