Última actualização :
27/01/2026
Antiemético   Prochlorperazine edysilate  
solução nasal
injetável
Estabilidade de preparações farmacêuticas Estabilidade em misturas Factores que afectam a sua estabilidade Compatibilidade Bibliografía pdf
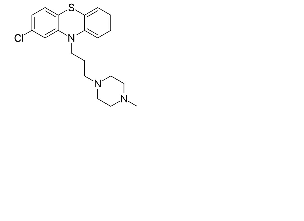
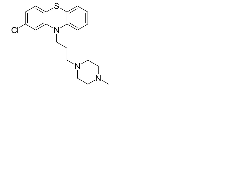
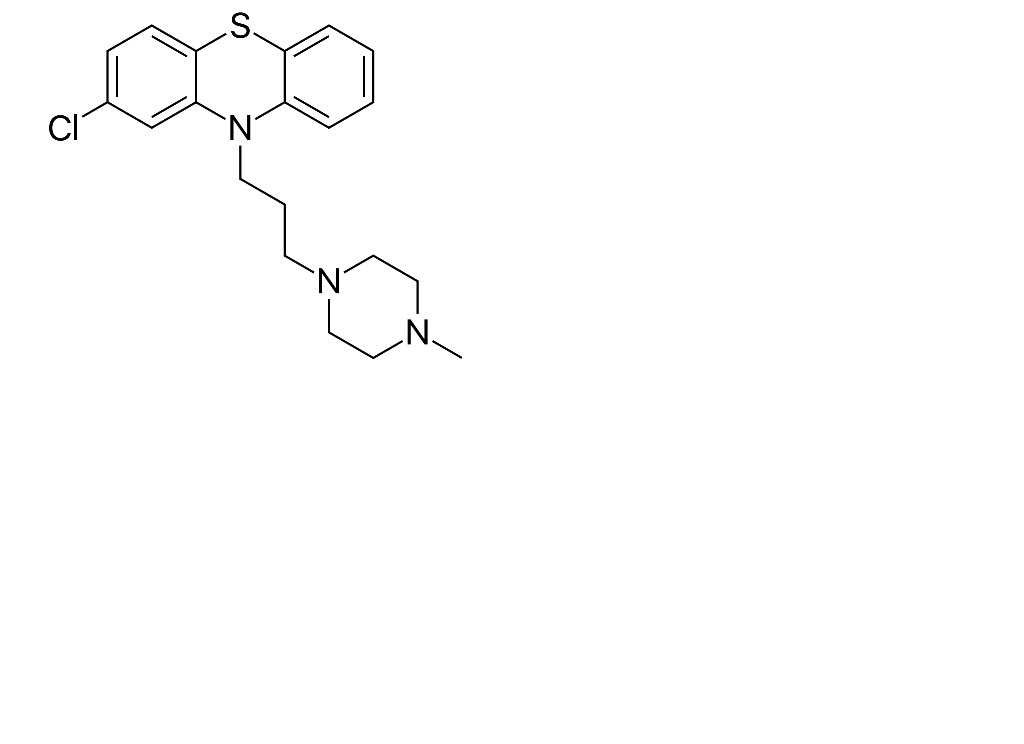
   estrutura química  

solução nasal
Estabilidade de preparações farmacêuticas   solução nasal   Estabilidade de preparações farmacêuticas : Prochlorperazine edysilate     
Embalagem Origine excipiente temperatura conservação Duração da estabilidade Bibliografia
frasco de plástico pó 250 mg
ácido cítrico 5 mg
NaCl 0.9% 450 mg
A água purificada >> 50 mL
ácido clorídrico 0.1N pH 2.5
22°C ao abrigo da luz
60 dia
4054


  Mentions Légales