Son güncelleme :
27/01/2026
Infostab
Listeler
Listeler
Uyumluluk arayın
Y site uyumluluk tablosu
Kaynaklar
Araştırma Takımlar
valistab
afiş
Bağlantıları
sponsorlar
Yazar
Kullanıcı rehberi
Bültenini
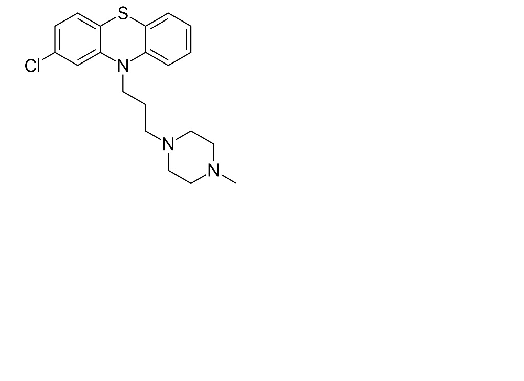
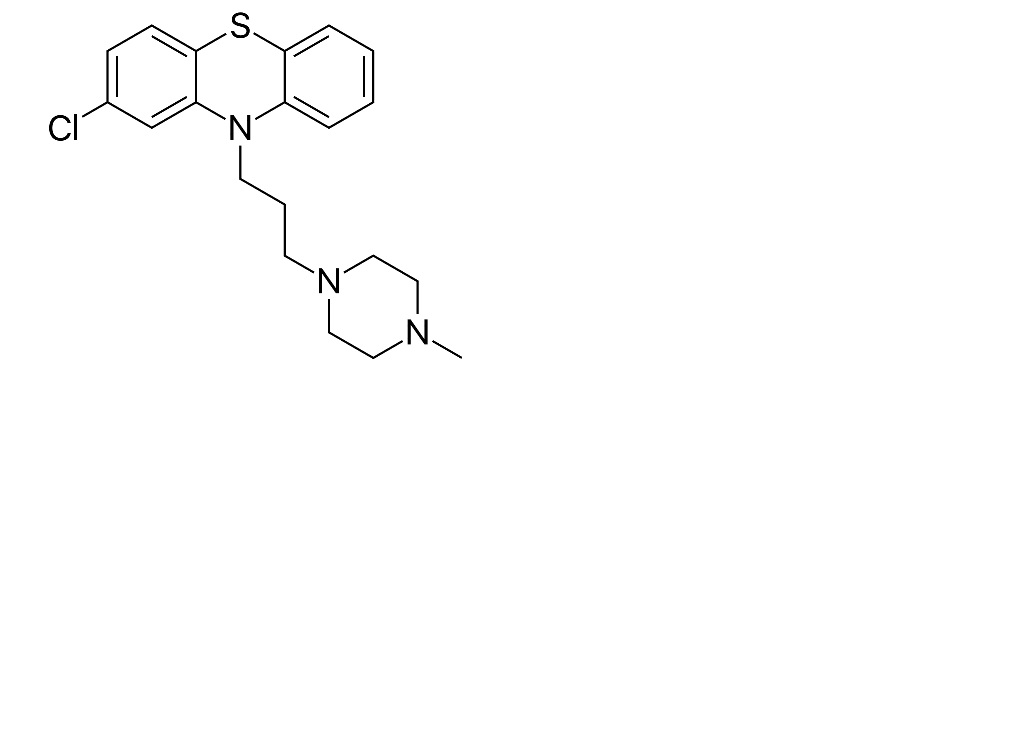
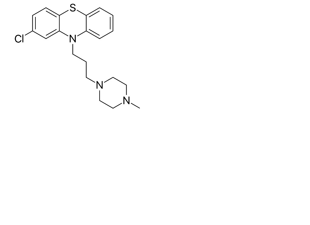
Prochlorperazine edysilate
Kimyasal yapı
Farmasötik preparatlar Kararlılığı : Prochlorperazine edysilate
250 mg
Sitrik asit
5 mg
% 0.9 NaCl
450 mg
Arıtılmış su
>> 50 mL
Hidroklorik asit
0.1N pH 2.5
22°C
60
4054
Mentions Légales