Ultimele actualizari :
27/01/2026
Antiemetic   Prochlorperazine edysilate  
Picaturi pentru nas
Injectabil
Stabilitatea preparatelor farmaceutice Stabilitatea in amestec Factorii care influenteaza stabilitatea Compatibilitate Bibliografie pdf
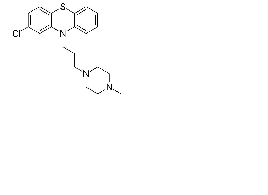
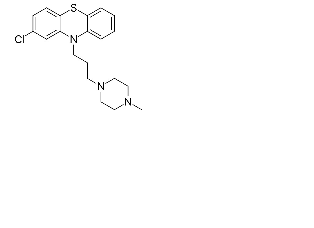
   Formula chimica  

Picaturi pentru nas
Stabilitatea preparatelor farmaceutice   Picaturi pentru nas   Stabilitatea preparatelor farmaceutice : Prochlorperazine edysilate     
Continut Origine Excipient Temperatura Conservare Durata stabilității Bibiografie
Sticla din plastic praf 250 mg
acid citric 5 mg
NaCl 0.9% 450 mg
Apă purificată >> 50 mL
acid clorhidric 0.1N pH 2.5
22°C Ferit de lumina
60 Ziua
4054


  Mentions Légales