Senaste uppdateringen :
18/03/2026
Antiemetikum   Prochlorperazine edysilate  
Näsdroppar
injektion
Stabilitet av läkemedel Stabilitet i blandningar Faktorer som påverkar stabiliteten Kompatibilitet Hänvisningar pdf
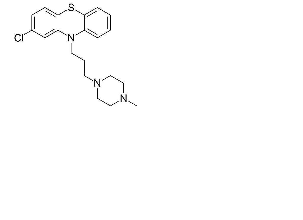
   Molekylstruktur  

Näsdroppar
Stabilitet av läkemedel   Näsdroppar   Stabilitet av läkemedel : Prochlorperazine edysilate     
Behållare Origine Hjälpämne Temperatur Förvaring Stabilitets varaktighet Hänvisningar
Plastflaska Pulver 250 mg
citronsyra 5 mg
Isoton koksaltlösning 450 mg
Renat vatten >> 50 mL
saltsyra 0.1N pH 2.5
22°C Skyddas från ljus
60 Dag
4054


  Mentions Légales