Последно актуализиране :
27/01/2026
Антиеметик   Prochlorperazine edysilate  
Капки за нос
Инжекция/Инжекционен
Стабилност на лекарствени препарати Стабилност на смеси Фактори, повлияващи стабилността Съвместимост Библиография Pdf
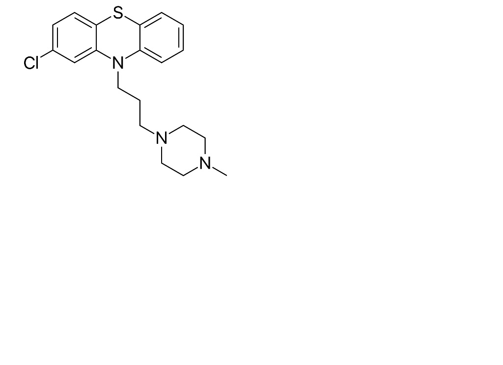
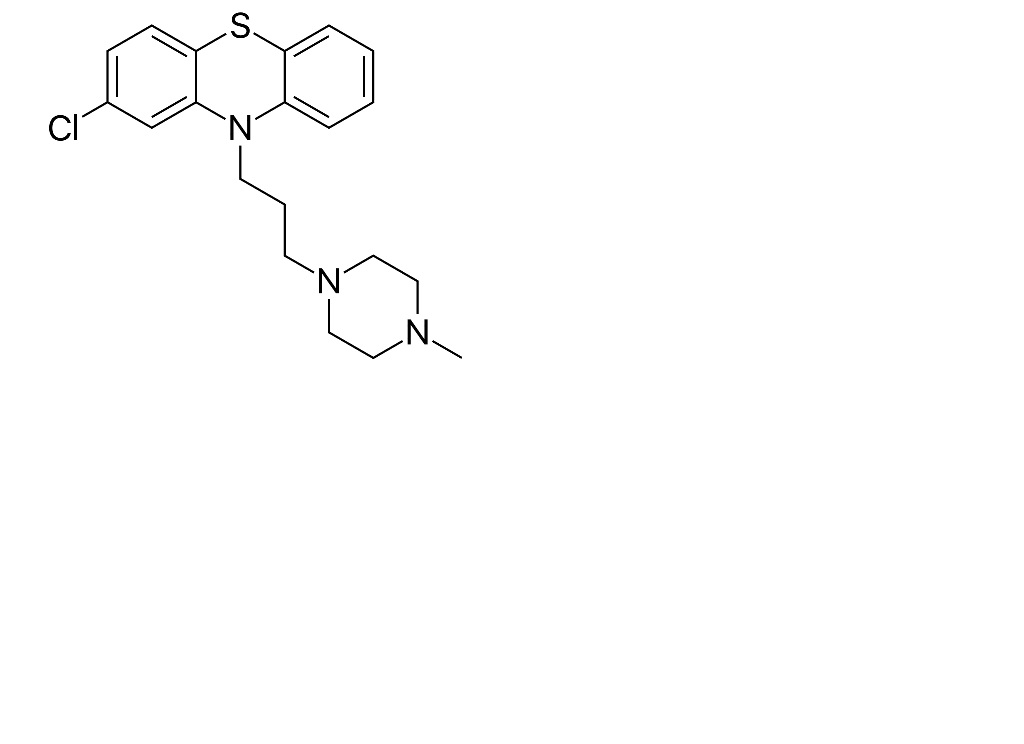
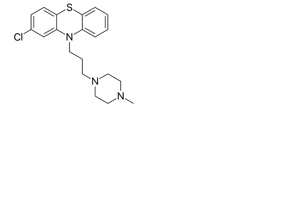
   Химична структура  

Капки за нос
Стабилност на лекарствени препарати   Капки за нос   Стабилност на лекарствени препарати : Prochlorperazine edysilate     
Контейнер Origine Помощно вещество Температура Съхранение Продължителност на стабилността Библиография
Пластмасова бутилка Прах 250 mg
Лимонена киселина 5 mg
Натриев хлорид 0.9% 450 mg
Пречистена вода >> 50 mL
Солна киселина 0.1N pH 2.5
22°C Защита от светлина
60 Ден
4054


  Mentions Légales