Poslední aktualizace :
27/04/2026
Antibiotikas   Azithromycine  
Tepalai
Įpurškimas
Stabilumas farmacinių preparatų Mišinių stabilumas Stabilumą lemiantys veiksniai Suderinamumas Bibliografija pdf
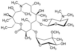
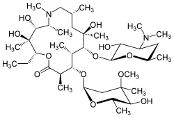
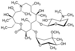
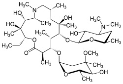
   Cheminė sandara  

Tepalai
Stabilumas farmacinių preparatų   Tepalai   Stabilumas farmacinių preparatų : Azithromycine     
Pakuotė Origine Ekscipientas Temperatūra Laikymas Stabilumo trukmė Nuorodos
Nenurodyta Vaistų buteliukas injekcijoms 500 mg
Zithromax
Etanolis 60% >> 25 mL
25°C Ir šviesoje, ir tamsoje
182 Diena
2894


  Mentions Légales