Poslední aktualizace :
27/01/2026
Antibiotikum   Azithromycine  
Masti
injekce
Stabilita farmaceutických přípravků Stabilita směsí Faktory ovlivňující stabilitu Kompatibilita Odkazy pdf
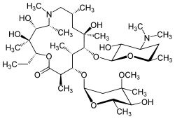
   Chemický vzorec  

Masti
Stabilita farmaceutických přípravků   Masti   Stabilita farmaceutických přípravků : Azithromycine     
Obal Origine Pomocné látky Teplota Uchovávání Trvání stability Odkazy
Nespecifikováno Lékovka pro injekci 500 mg
Zithromax
etanol 60% >> 25 mL
25°C S nebo bez svÏtla
182 Den
2894


  Mentions Légales