Cập nhật lần cuối :
27/01/2026
Kháng sinh   Azithromycine  
Dạng bôi da
Dạng tiêm
Tính ổn định của các chế phẩm Độ ổn định khi trộn lẫn Những yếu tố ảnh hưởng đến độ ổn định Khả năng tương thích Tài liệu tham khảo Pdf
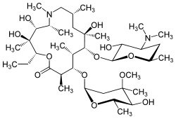
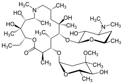
   Cấu trúc hóa học  

Dạng bôi da
Tính ổn định của các chế phẩm   Dạng bôi da   Tính ổn định của các chế phẩm : Azithromycine     
Bao bì Nguyên bản Tá dược Nhiệt độ Bảo quản Thời gian ổn định Mục lục
Không rõ Lọ thuốc tiêm 500 mg
Zithromax
Ethanol 60% >> 25 mL
25°C Có hoặc không có tiếp xúc với ánh sáng
182 Ngày
2894


  Mentions Légales