Viimeisin päivitys :
27/04/2026
Antibiootit   Azithromycine  
Salvat
Injektioneste
Vakaus lääkevalmisteen Stabilius seoksissa Tekijät, jotka vaikuttavat stabiliuteen Yhteensopivuus Viitteet pdf
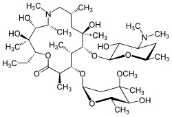
   Kemiallinen rakenne  

Salvat
Vakaus lääkevalmisteen   Salvat   Vakaus lääkevalmisteen : Azithromycine     
Astia Origine Apuaine Lämpötila Säilytys Vakauden kesto Viitteet
Ei määritetty Injektionestepullo 500 mg
Zithromax
Etanoli 60% >> 25 mL
25°C Valossa tai suojassa valolta
182 Päivä
2894


  Mentions Légales