Τελευταία ενημέρωση :
27/04/2026
Αντιβιοτικό   Azithromycine  
Αλοιφές
Ενέσιμο
Σταθερότητα και συμβατότητα των φαρμάκων Σταθερότητα σε μίγματα Παράγοντας που επηρεάζει τη σταθερότητα Συμβατότητες Βιβλιογραφία pdf
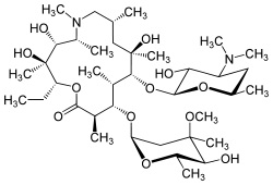
   χημική δομή  

Αλοιφές
Σταθερότητα και συμβατότητα των φαρμάκων   Αλοιφές   Σταθερότητα και συμβατότητα των φαρμάκων : Azithromycine     
Υποδοχέας Origine Έκδοχο Θερμοκρασία Αποθήκευση Διάρκεια σταθερότητας Βιβλιογραφία
Απροσδιόριστο Φιαλίδιο φαρμάκου για ένεση 500 mg
Zithromax
Αιθανόλη 60% >> 25 mL
25°C Με ή χωρίς φως
182 Ημέρα
2894


  Mentions Légales