zadnja posodobitev :
27/04/2026
Antimikotik   Amphotericin B  
Brizgalka
Aerosol Kapljice za oči Peroralna raztopina Ustna voda
Stabilnost raztopine Stabilnost mešanice Faktorji, ki vplivajo na stabilnost Kompatibilnost način aplikacije Viri pdf
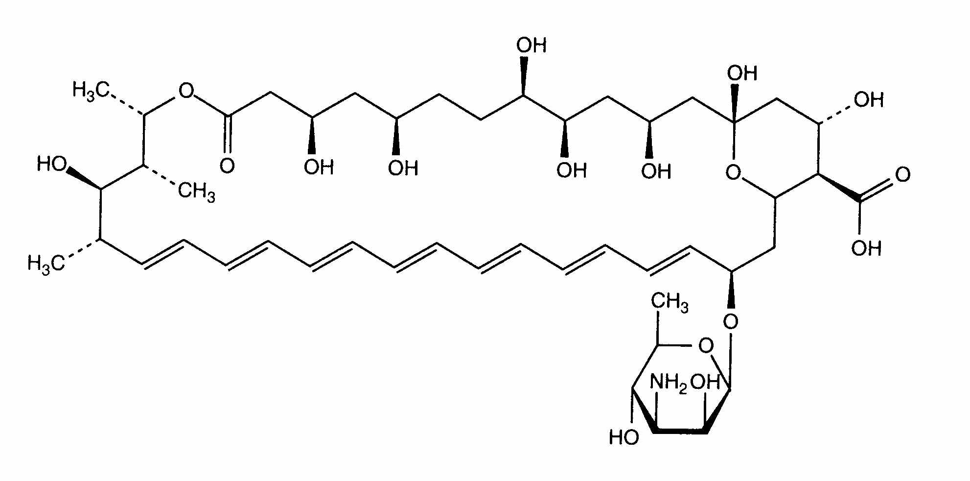
   Kemična formula  

Lastniško ime   Lastniško ime     

Sestava pomožnih snovi je med paralelami lahko različna

Fungizone Danska, Finska, Francija, Grčija, Indija, Iran, Irska, Italija, Kanada, Kolumbija, Madžarska, Malezija, Maroko, Nemčija, Nizozemska, nova Zelandija, Portugalska, Švedska, Švica, Tunizija, Turčija, Velika Britanija, Venezuela, Združene države Amerike
način aplikacije   način aplikacije :Amphotericin B     
Voie
Intravenska infuzija
intratekalno
intravesikalno
Intrapleuralno
Intraperitonealno
intravitralno
antraartikularno
Subkonjiuktivalno

  Mentions Légales