viimane versioon :
27/01/2026
Seenevastane ravim   Amphotericin B  
Süsteravim
aerosool Silmatilgad suukaudne lahus Suuloputus lahus
Stabiilsus lahustes Stabiilsust mõjutavad tegurid stabiilsust mõjutavad faktorid Sobimatus Manustamis viis Viited pdf
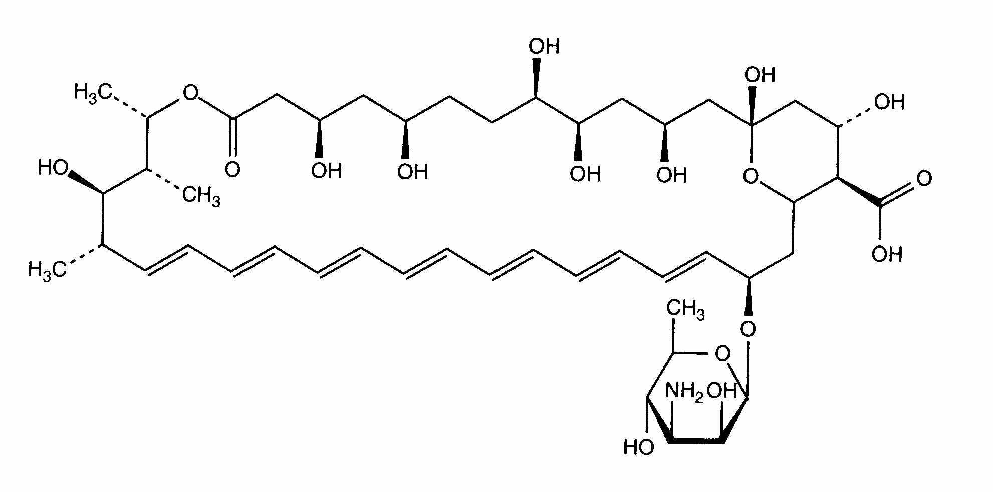
   keemiline struktuur  

Kaubanduslikud nimed erinevates maades   Kaubanduslikud nimed erinevates maades     

Preparaatide nimed on näitlikud ja abianete sisaldus võib erineda sõltuvalt riigist ja laborist

Fungizone Ameerika ühendriigid, Holland, Iirimaa, India, Iraan, Itaalia, Kanada, Kolumbia, Kreeka, Malaisia, Maroko, Portugal, Prantsusmaa, Rootsi, Saksamaa, Soome, Suurbritannia, Sveits, Taani, Tuneesia, Türgi, Ungari, uus-Meremaa, Venetsueela
Manustamis viis   Manustamis viis :Amphotericin B     
Voie
intravenoosne infusioon
intratekaalne
intravesikaalne
intrapleuraalne
intraperitoneaalne
intravitreaalne
intraartikulaarne
subkonjuktivaalne

  Mentions Légales