Ultimele actualizari :
27/04/2026
Antifungic   Amphotericin B  
Injectabil
Aerosol colir Gargara Soluţie orală
Stabilitatea in solutie Stabilitatea in amestec Factorii care influenteaza stabilitatea Compatibilitate Microunde Bibliografie pdf
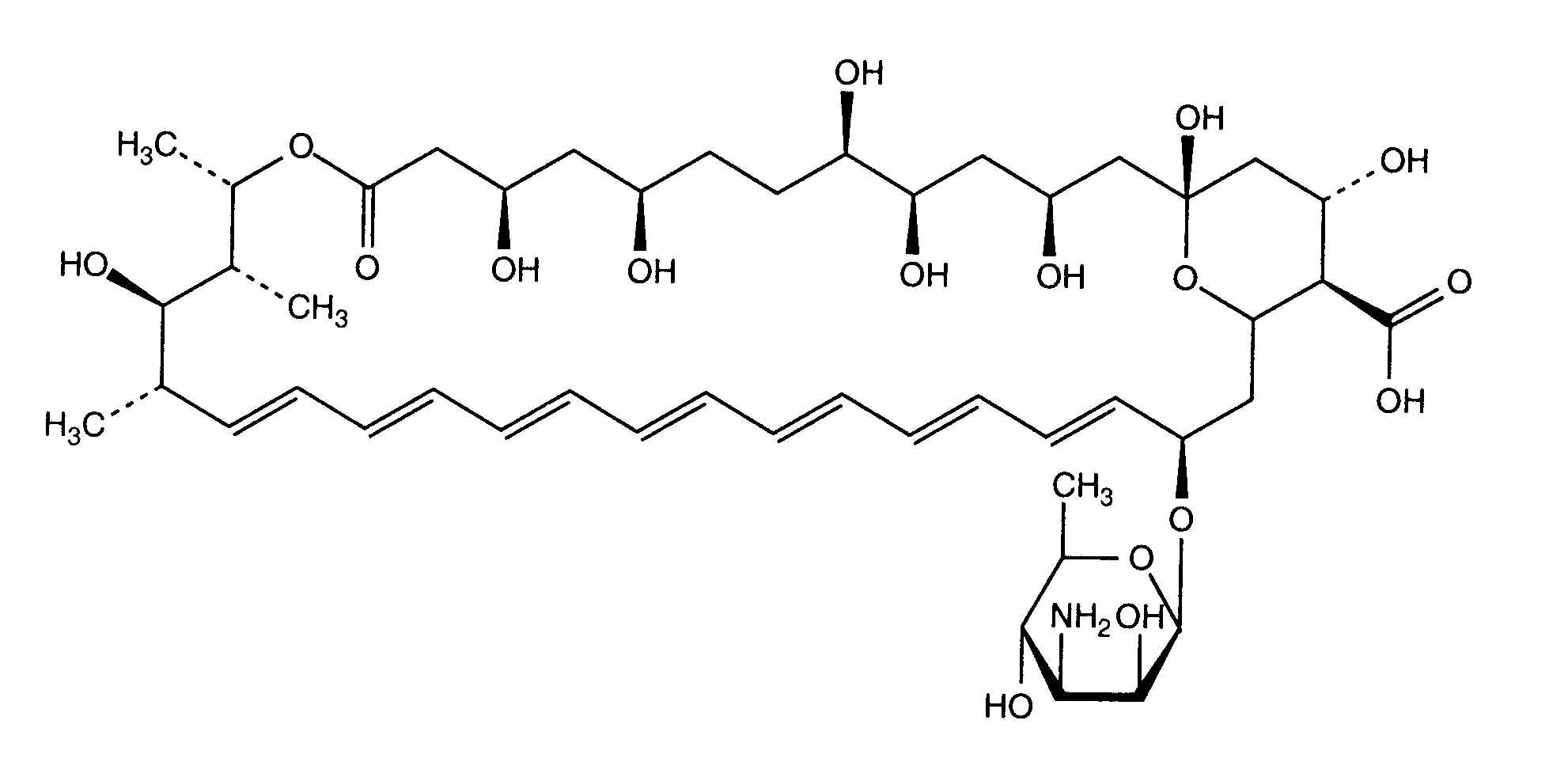
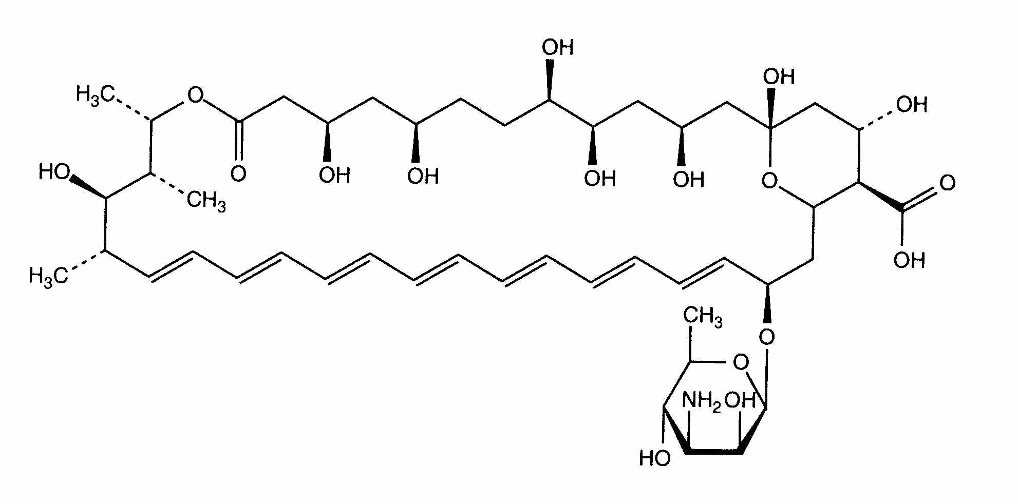
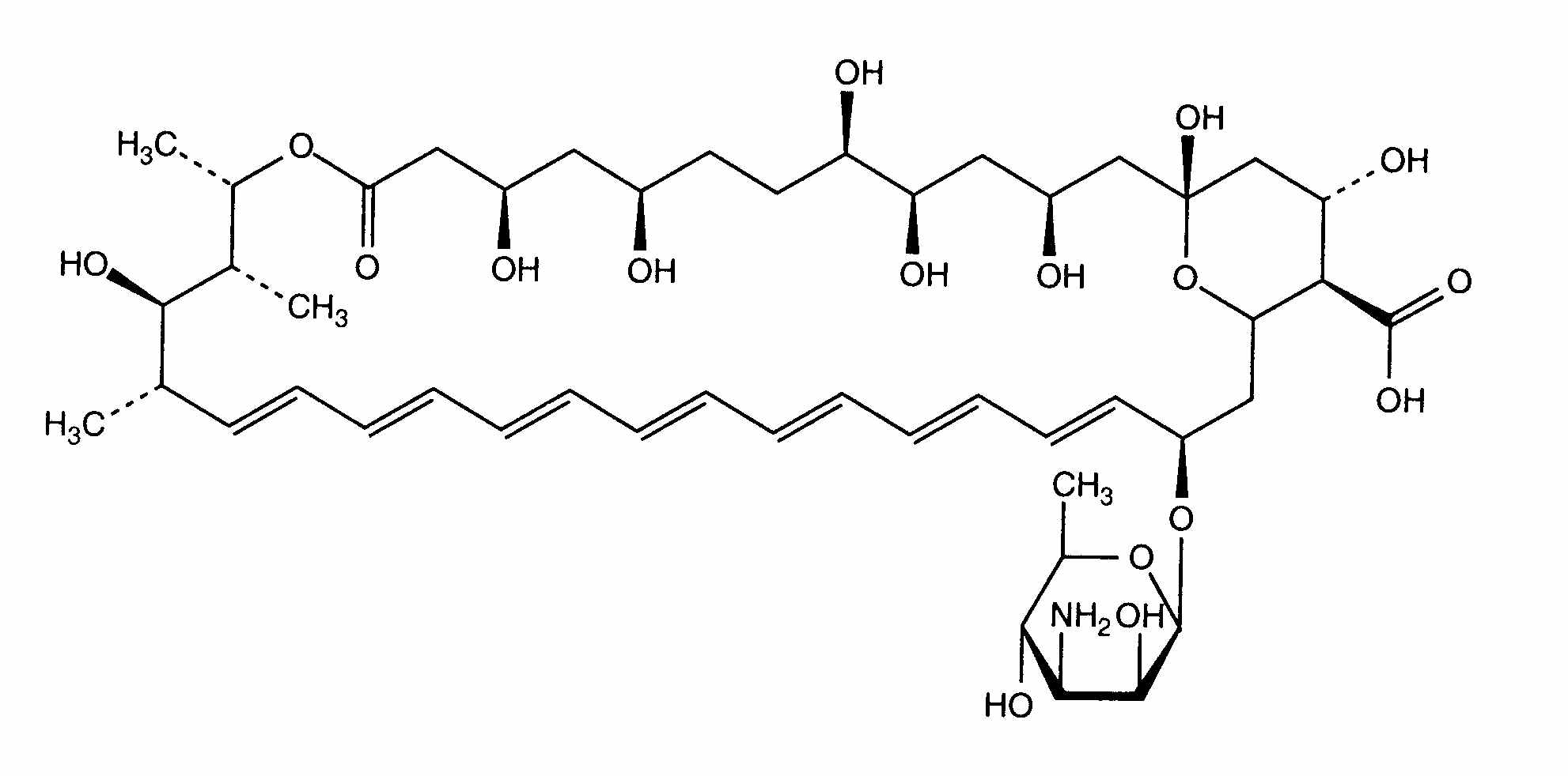
   Formula chimica  

Denumirea comerciala   Denumirea comerciala     

Trade names are indicative and excipients composition can be different depending on the country and manufacturers

Fungizone Canada, Columbia, Danemarca, Elvetia, Finlanda, Franta, Germania, Grecia, India, Iran, Irlanda, Italia, Malaezia, Marea Britanie, Maroc, noua Zeelandă, Olanda, Portugalia, SUA, Suedia, Tunisia, Turcia, Ungaria, Venezuela
Microunde   Microunde :Amphotericin B     
Voie
Perfuzie intravenoasa
Intratecal
Intravezical
Intra-pleural
Intra-peritoneal
Intravitrean
Intra-articular
sub conjunctival

  Mentions Légales