Ultimo aggiornamento :
27/04/2026
Antimicotico   Amphotericin B  
Iniezione
Aerosol Collirio Collutorio Soluzione orale
Stabilità in soluzione Stabilità in miscela Fattori che influenzano la stabilità Compatibilità metodo di iniezione Bibliografia pdf
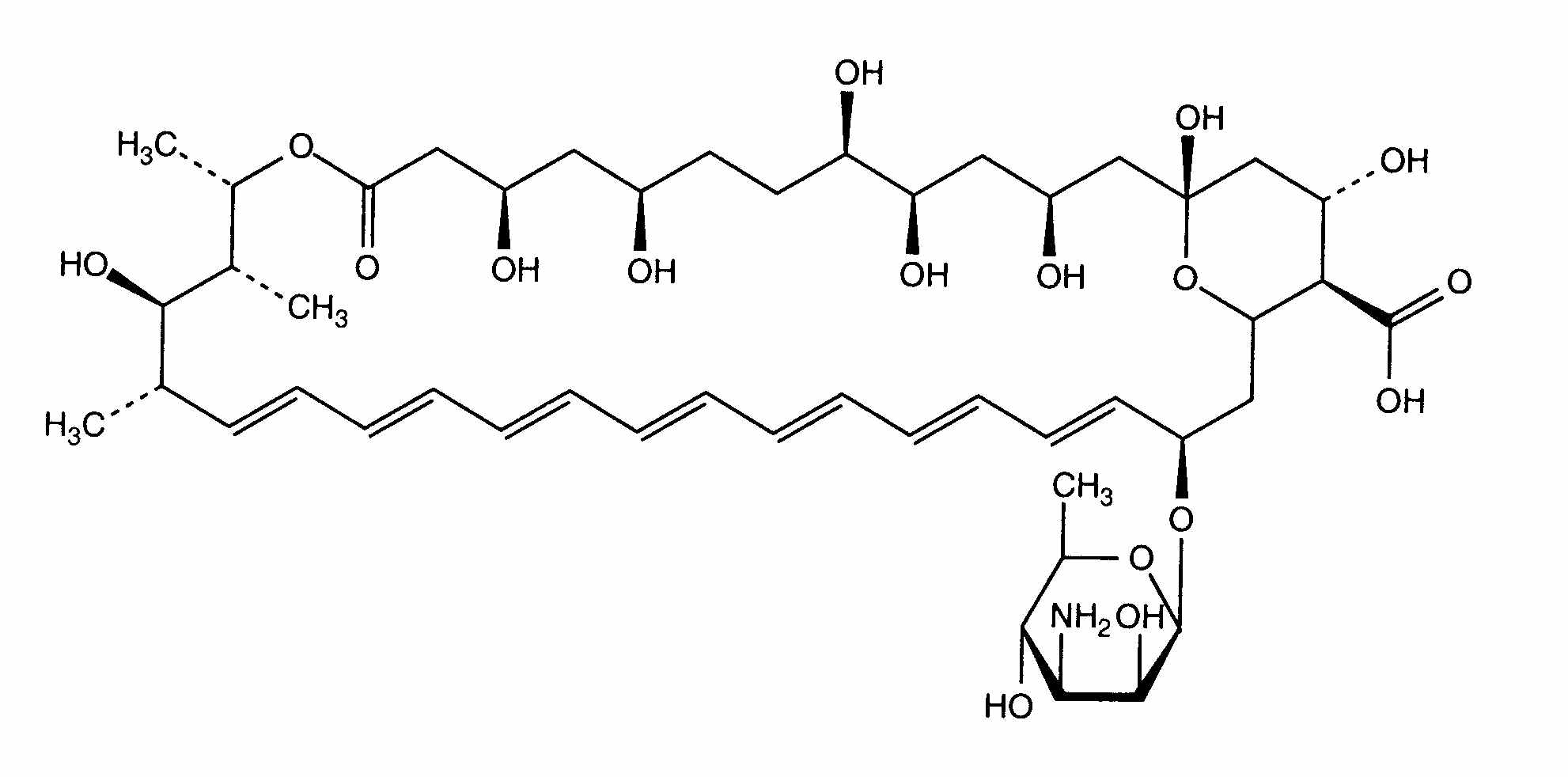
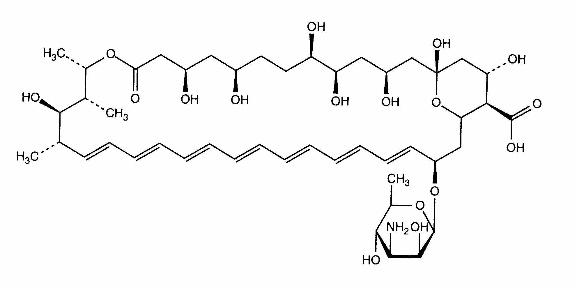
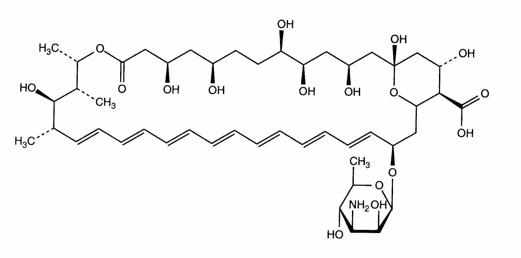
   Struttura chimica  

Nome commerciale   Nome commerciale     

Trade names are indicative and excipients composition can be different depending on the country and manufacturers

Fungizone Canada, Colombia, Danimarca, Finlandia, Francia, Germania, Gran Bretagna, Grecia, India, Iran, Irlanda, Italia, Malaysia, Marocco, nuova Zelanda, Paesi Bassi, Portogallo, Stati Uniti d’America, Svezia, Svizzera, Tunisia, Turchia, Ungheria, Venezuela
metodo di iniezione   metodo di iniezione :Amphotericin B     
Voie
Flebo endovenosa
Intratecale
Intravescicale
Intrapleurico
Intraperitoneale
Intravitrea
Intrarticolare
Sottocongiuntivale

  Mentions Légales