آخر تحديث :
27/04/2026
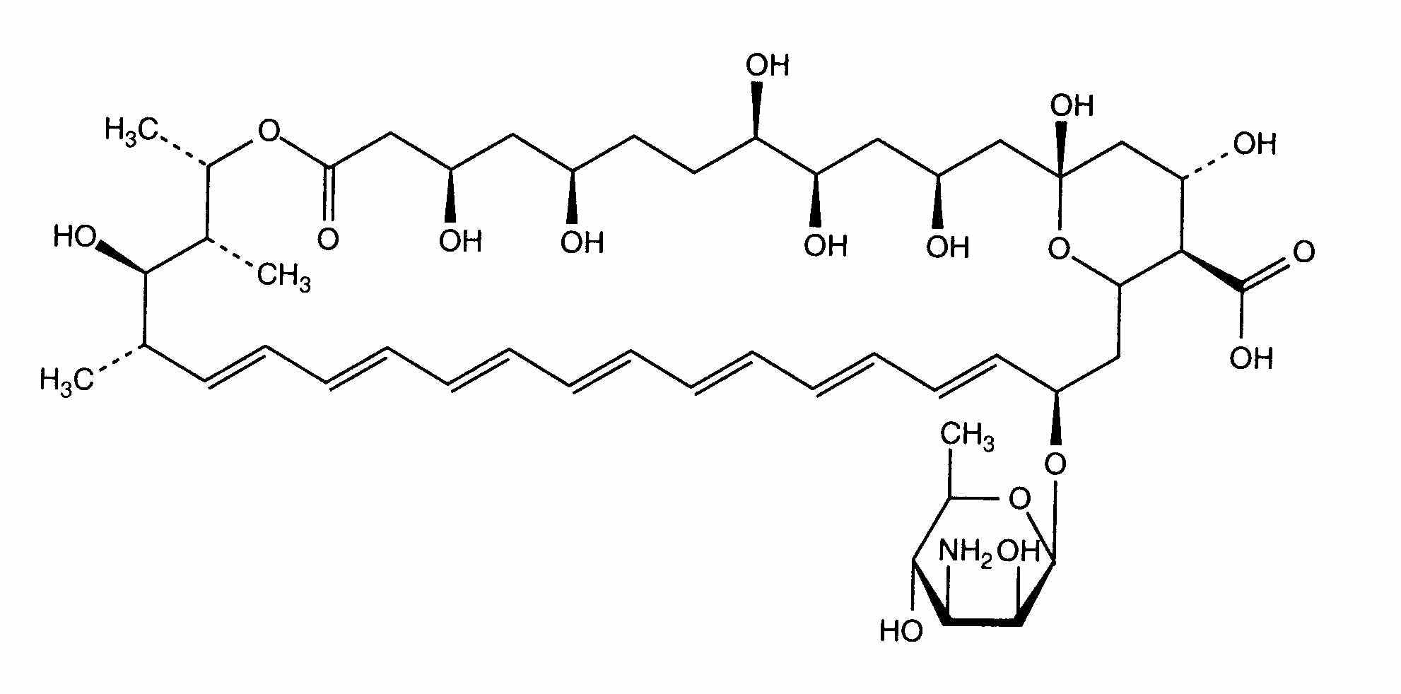
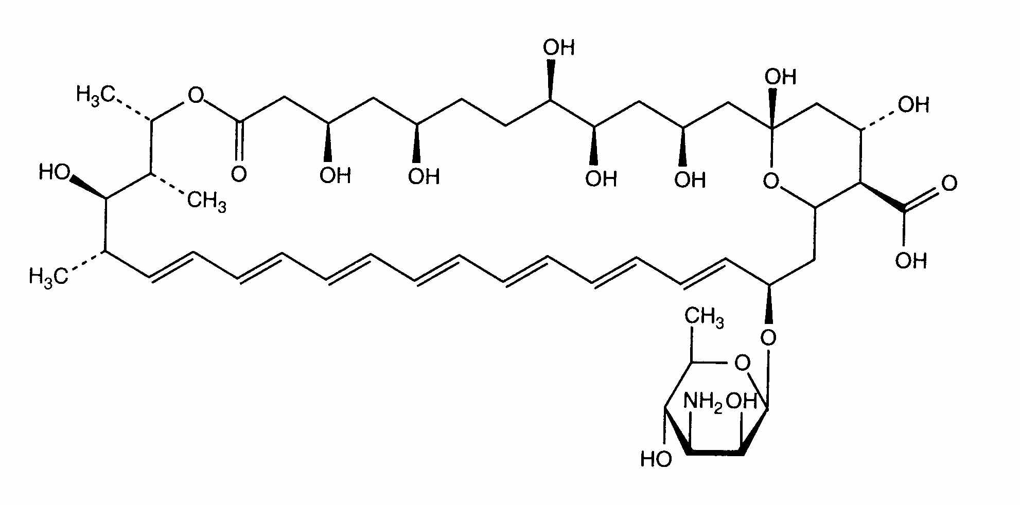
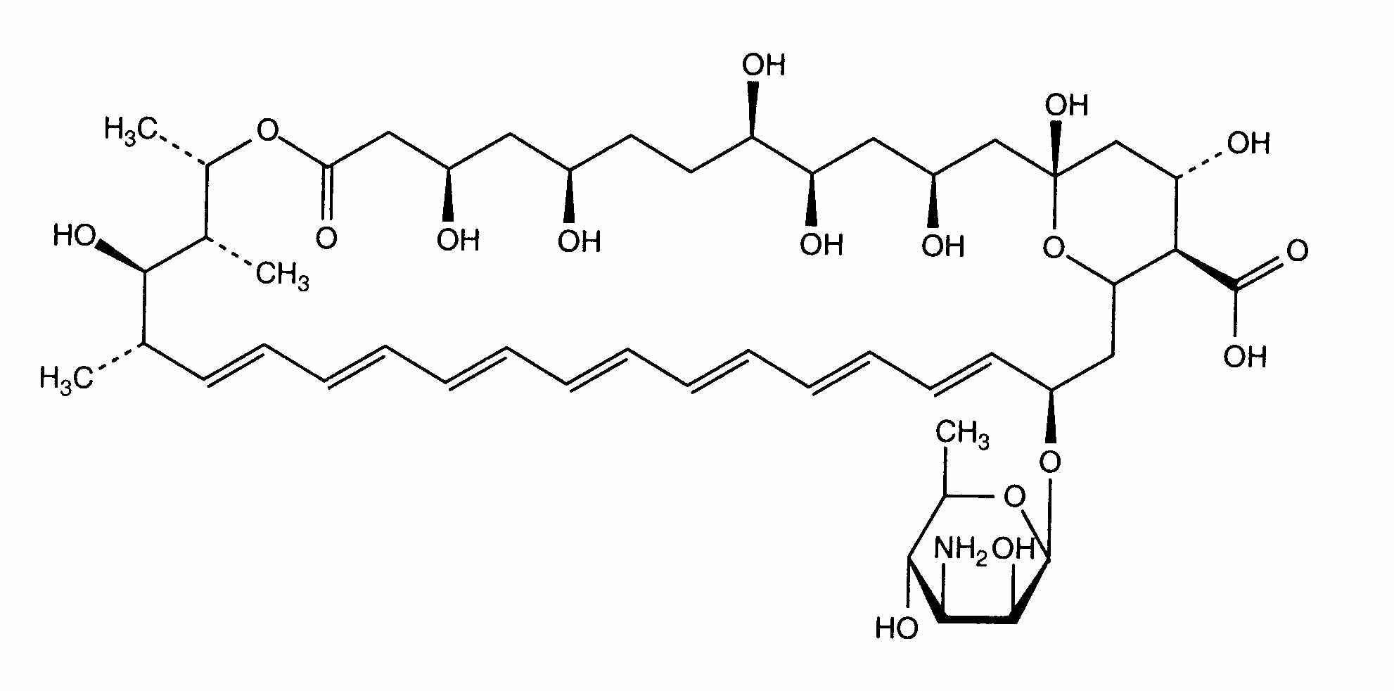
مضاد للفطريات   Amphotericin B  
حقن
الأيروصولات عن طريق الفم  غسول الفم قطرات العين
الاستقرار في حلول استقرار مخاليط العوامل التي تؤثر على الاستقرار التوافق طريقة التعاطي مراجع pdf
   التركيب الكيميائي  

حجز الاسم التجاري   حجز الاسم التجاري     

تحذير الأسماء التجاريه المختلفه قد تحتوي علي محتوي إضافات مختلفة حسب الدوله و المعمل

Fungizone ألمانيا, إيران, إيطاليا, البرتغال, الدنمارك, السويد, المغرب, الهند, الولايات المتحدة, ايرلندا, بريطانيا العظمي, تركيا, تونس, زيلاندا الجديدة, سويسرا, فرنسا, فنزويلا, فنلندا, كندا, كولومبيا, ماليزيا, هنغاريا, هولندا, يونان
طريقة التعاطي   طريقة التعاطي :Amphotericin B     
Voie
الحقن الوريدي   المستمر
حقن الظهر
الحقن في المثانة
الحقن داخل الجنبة
داخل الصفاق
داخل الجسم الزجاجي
الحقن داخل المفصل
الحقن تحت   الملتحمة

  Mentions Légales