Senaste uppdateringen :
31/03/2026
Vitamin   Phytomenadione  
Oral lösning
injektion
Stabilitet av läkemedel Stabilitet i blandningar Faktorer som påverkar stabiliteten Kompatibilitet Hänvisningar pdf
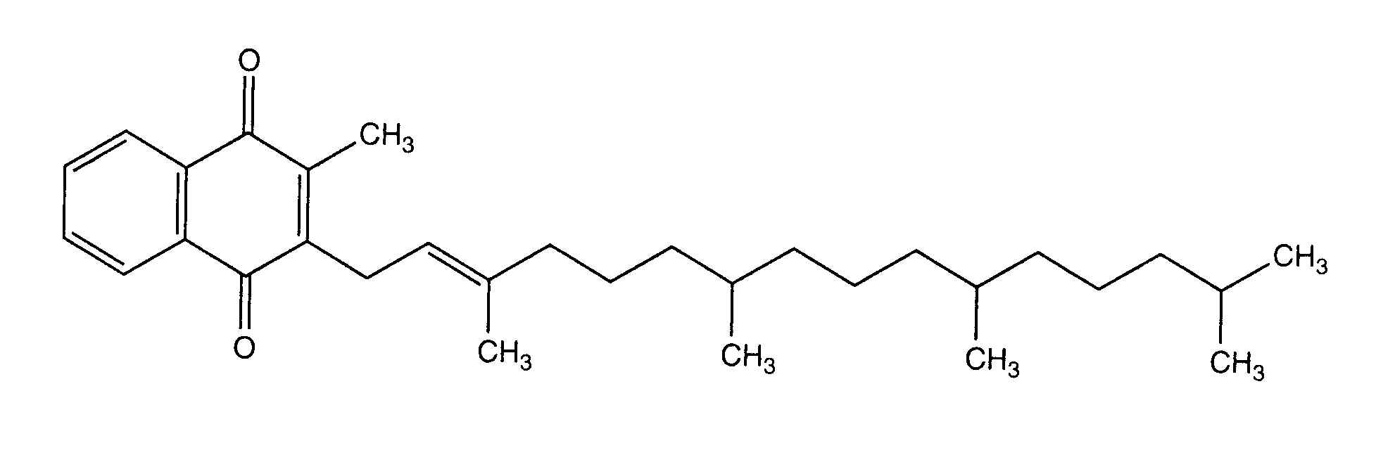
   Molekylstruktur  

Oral lösning
Kompatibilitet   Oral lösning   Kompatibilitet : Phytomenadione              
Ingen uppgift

  Mentions Légales