Zadnji put ažurirano :
31/03/2026
vitamini   Phytomenadione  
oralna otopina
injekcija
Stabilnost farmaceutskih pripravaka Stabilnost mješavine Stabilizacijski faktor Kompatibilnosti Bibliografija pdf
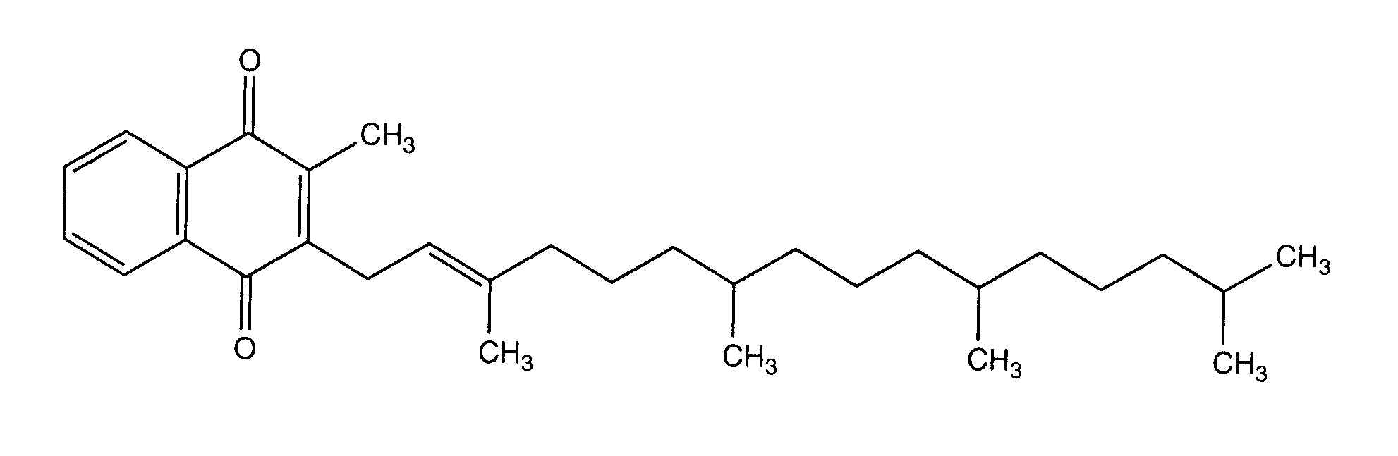
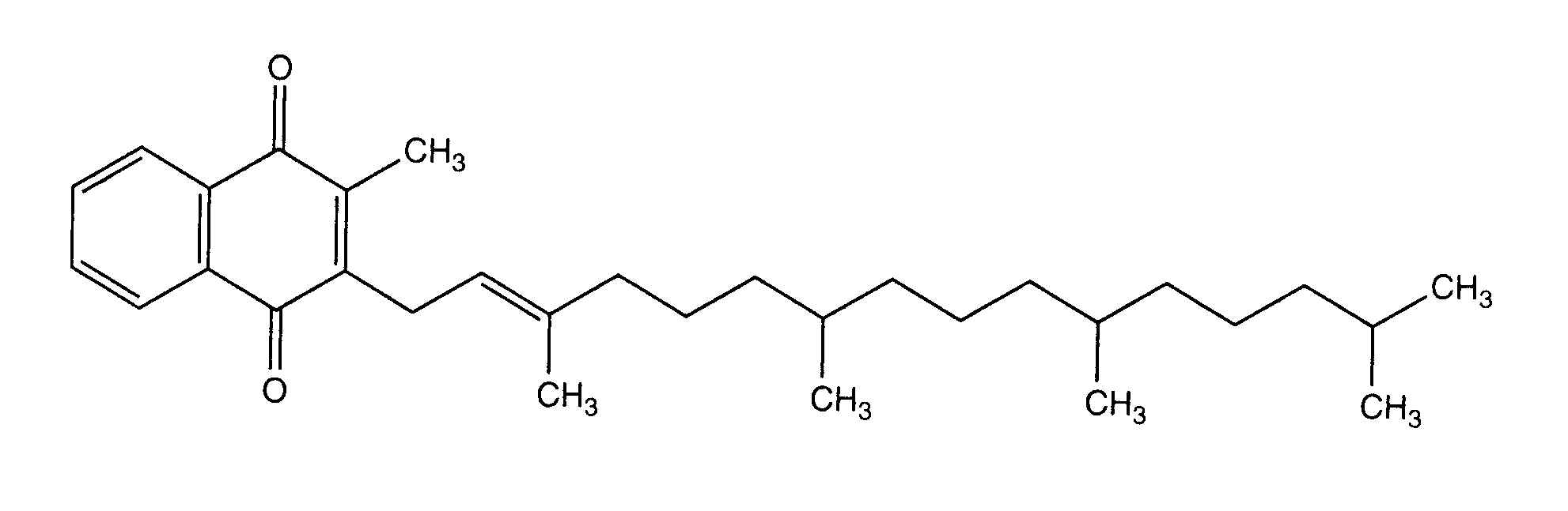
   Kemijska struktura  

oralna otopina
Kompatibilnosti   oralna otopina     Kompatibilnosti : Phytomenadione              
bez podataka

  Mentions Légales