Ostatnia aktualizacja :
31/03/2026
Witamina   Phytomenadione  
Roztwór doustny
Injekcje
Stabilność preparatów farmaceutycznych Trwałość w mieszaninie Czynnik wpływający na trwałość Zgodność Bibliografia pdf
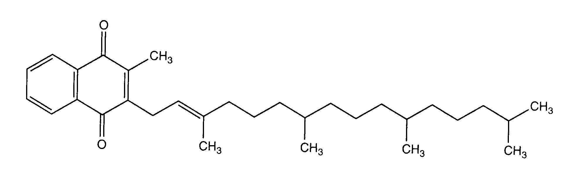
   Struktura chemiczna  

Roztwór doustny
Zgodność   Roztwór doustny   Zgodność : Phytomenadione              
Brak danych

  Mentions Légales